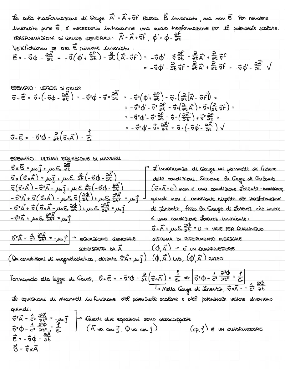
Appunti Fisica II - Pagine (con riassunto)

176 pagine totali.
Leti: p.1 - p.103 e p.114 - p.162 (corso principale).
Ale (Relatività Speciale): p.105 - p.111.
Manuel: introduzione al potenziale vettore p.113.1 - p.113.7 (lezione sostitutiva).
Ottica: Mirco p.164 - p.166 e p.176 (con dimostrazioni); Vale p.167 - p.175.
Domande orali: sezione finale con schemi e dimostrazioni.
Usa la ricerca per trovare rapidamente argomenti o numeri di pagina.

Pagina 1 - Rielaborazione (copertina)

Tema: Sezione
Riassunto guidato

Pagina di apertura/separatore della raccolta di appunti. Non contiene contenuto didattico, serve solo come copertina.

Cosa segue

Pagina 2:

Pagina 1
Pagina 1 (AppuntiFII)Apri immagine

Pagina 2 - 20STATICA Forza Elettrica Tipo di forza che viene scaturita da una proprietà della materia

Tema: Elettrostatica
Riassunto guidato

Qui si introducono i concetti base di carica elettrica e interazione elettrostatica: forza tra cariche (Coulomb), campo elettrico e principio di sovrapposizione, con esempi di calcolo.

Estratto dalla pagina (testo)

20STATICA Forza Elettrica - Tipo di forza che viene scaturita da una proprietà della materia detta Carica elettrica. Un fenomeno che coinvolge la carica elettrica è lo strofinio di un porno con una bacchetta di vetro (il porno si corica negativamente perché acquisisce elettroni dalla bacchetta, che si colica positivamente) oppure di un porno con della baccherite (in questo caso è la baccherite a caricarsi…

Cosa segue

Pagina 3: Materiali Isolanti: materiali i cui elettroni sono fortemente legati ai nuclei degli

Pagina 2
Pagina 2 (AppuntiFII)Apri immagine

Pagina 3 - Materiali Isolanti: materiali i cui elettroni sono fortemente legati ai nuclei degli

Tema: Dielettrici
Riassunto guidato

Qui si introduce la polarizzazione dei dielettrici e le grandezze macroscopiche \(\mathbf{P}\) e \(\mathbf{D}\), con relazione costitutiva e implicazioni su campo e potenziale.

Estratto dalla pagina (testo)

Materiali Isolanti: materiali i cui elettroni sono fortemente legati ai nuclei degli atomi Ces plastica, lona di vetro....( materiali conduttori: materiali all'interno dei quali gli elettroni si nuovono liberamente Ces.

Cosa segue

Pagina 4: 1/n0/2024 (sistemi di riferimento inerziali) Grazie ad unapparato sperimentale detto bilancia di torsione, è...

Pagina 3
Pagina 3 (AppuntiFII)Apri immagine

Pagina 4 - 1/n0/2024 (sistemi di riferimento inerziali) Grazie ad unapparato sperimentale detto bilancia di torsione, è...

Tema: Elettrostatica
Riassunto guidato

Qui si introducono i concetti base di carica elettrica e interazione elettrostatica: forza tra cariche (Coulomb), campo elettrico e principio di sovrapposizione, con esempi di calcolo.

Estratto dalla pagina (testo)

1/n0/2024 (sistemi di riferimento inerziali) Grazie ad unapparato sperimentale detto bilancia di torsione, è possibile arrivare sperimentalmente alla legge di Corlamb F = ↳ mmm A e B sono sfere metalliche, B rimane Ferma, A ha la possibilità di muoversi ruotando.

Cosa segue

Pagina 5: Considerando il sistema delle tre cariche si è verificato Sperimentalmente che la forza

Pagina 4
Pagina 4 (AppuntiFII)Apri immagine

Pagina 5 - Considerando il sistema delle tre cariche si è verificato Sperimentalmente che la forza

Tema: Elettrostatica
Riassunto guidato

Qui si introducono i concetti base di carica elettrica e interazione elettrostatica: forza tra cariche (Coulomb), campo elettrico e principio di sovrapposizione, con esempi di calcolo.

Estratto dalla pagina (testo)

Considerando il sistema delle tre cariche si è verificato Sperimentalmente che la forza totaleagente sulla carica qu è data dalla somma delle singole forze che ogirebbero sulla carica se non ci fosse la tenza (ciò non vale in qualunque sistema di riferimento)= CA livello esclusivamente algebrico nulla garantisce che volga questa relazione) Questa analisi si può estendere ad un caso in · go cui considero un generico…

Cosa segue

Pagina 6: Calcolo Delle COMPONENTI VETTORIALI DEL CAMPO ELETTRICO GENERATO DA N CARICHE

Pagina 5
Pagina 5 (AppuntiFII)Apri immagine

Pagina 6 - Calcolo Delle COMPONENTI VETTORIALI DEL CAMPO ELETTRICO GENERATO DA N CARICHE

Tema: Elettrostatica
Riassunto guidato

Qui si introducono i concetti base di carica elettrica e interazione elettrostatica: forza tra cariche (Coulomb), campo elettrico e principio di sovrapposizione, con esempi di calcolo.

Estratto dalla pagina (testo)

Calcolo Delle COMPONENTI VETTORIALI DEL CAMPO ELETTRICO GENERATO DA N CARICHE: 2x · P(x, y,z) ro = (x -xy)+ (y - yz)+ (z -zy) go in 93(x3. 43,23) L g > Y 2x as(X -xy) =Se Componenti del campo S as(y - yj) elettrico che dipendono dalla posizione 9y(z - zj) (concetto di compo Ez = [(x -x](2 + (y - yz)+ (z -z-y)] CALCOLO Del CAMPO ELETTRICO In un PUNTO P In presenza di UNA DISTRIBUZIONE CONTINUA Di CARICHE: ⑫r…

Cosa segue

Pagina 7: DISTRIBUZIONE DI CARICA SUPERFICIALE Densità di carica superficiale (5) dS da da = 3dS

Pagina 6
Pagina 6 (AppuntiFII)Apri immagine

Pagina 7 - DISTRIBUZIONE DI CARICA SUPERFICIALE Densità di carica superficiale (5) dS da da = 3dS

Tema: Elettrostatica
Riassunto guidato

Qui si introducono i concetti base di carica elettrica e interazione elettrostatica: forza tra cariche (Coulomb), campo elettrico e principio di sovrapposizione, con esempi di calcolo.

Estratto dalla pagina (testo)

DISTRIBUZIONE DI CARICA SUPERFICIALE Densità di carica superficiale (5) dS da da = 3dS - > È(x,y) = k)43(= (dxdy DISTRIBUZIONE DI CARICA LINEARE densità di carica lineare (d) i da = >al È(x) = k)43()=43(dx Linee di forza o di CAMPO Supponiamo di trovare il campo elettrico in un punto Pr, poi di spostarci di un tratto ali per raggiungere un punto Pr nel quale trovare nuovamente il campo elettrico.

Cosa segue

Pagina 8: CRITERIO DI FARADAY Preso un elemento di superficie aJosè contenente il punto P nel quale voglio calcolare

Pagina 7
Pagina 7 (AppuntiFII)Apri immagine

Pagina 8 - CRITERIO DI FARADAY Preso un elemento di superficie aJosè contenente il punto P nel quale voglio calcolare

Tema: Elettrostatica
Riassunto guidato

Qui si introducono i concetti base di carica elettrica e interazione elettrostatica: forza tra cariche (Coulomb), campo elettrico e principio di sovrapposizione, con esempi di calcolo.

Estratto dalla pagina (testo)

CRITERIO DI FARADAY Preso un elemento di superficie aJosè contenente il punto P nel quale voglio calcolare l'intensità del compo elettrico, avrò che il numero di linee di forza che attraversano aso sono pari a AN = Esso (di conseguenza, se aso è unitaria posso ricavare da AN l'intensità del campo elettrico).

Cosa segue

Pagina 9: 3/10/2024 Esempi di campi elettrici di Distribuzioni

Pagina 8
Pagina 8 (AppuntiFII)Apri immagine

Pagina 9 - 3/10/2024 Esempi di campi elettrici di Distribuzioni

Tema: Elettrostatica
Riassunto guidato

Qui si introducono i concetti base di carica elettrica e interazione elettrostatica: forza tra cariche (Coulomb), campo elettrico e principio di sovrapposizione, con esempi di calcolo.

Estratto dalla pagina (testo)

3/10/2024 Esempi di campi elettrici di Distribuzioni di Carica CONTINUA 1) linea (idealmente infinitamente lunga) carica positivamente dE 2 a dei ↑ & O + Calcoliamo il compo elettrico in un dz dEz - · - 3 punto a distanza z dalla distribuzione dEx de di carica.

Cosa segue

Pagina 10: Ez=Caldo si [sim() - sint)) = 28z ↓ Gli estremidiintegraziesonoperchéper elementini di e e se & Ez zuEoZ

Pagina 9
Pagina 9 (AppuntiFII)Apri immagine

Pagina 10 - Ez=Caldo si [sim() - sint)) = 28z ↓ Gli estremidiintegraziesonoperchéper elementini di e e se & Ez zuEoZ

Tema: Elettrostatica
Riassunto guidato

Qui si introducono i concetti base di carica elettrica e interazione elettrostatica: forza tra cariche (Coulomb), campo elettrico e principio di sovrapposizione, con esempi di calcolo.

Estratto dalla pagina (testo)

Ez=Caldo si [sim() - sint)) = 28z ↓ Gli estremidiintegraziesonoperchéper elementini di e e se & Ez zuEoZ Campo elettrico In Un PUNTO sufficientemente VICINO Alla LINEA Indefinitamente lunga di carica positiva e sull'asse z Se la linea fosse stata finita, gli estremi di integrazione sarebbero gliangoli che corrispondono alle sue estremità XX In questo caso, il campo elettrico nei punti che - 7 descrivono la…

Cosa segue

Pagina 11: & XalS dEx = undo (r2+X 2]312 Dato che si tratta di una distribuzione continua di cariche

Pagina 10
Pagina 10 (AppuntiFII)Apri immagine

Pagina 11 - & XalS dEx = undo (r2+X 2]312 Dato che si tratta di una distribuzione continua di cariche

Tema: Elettrostatica
Riassunto guidato

Qui si introducono i concetti base di carica elettrica e interazione elettrostatica: forza tra cariche (Coulomb), campo elettrico e principio di sovrapposizione, con esempi di calcolo.

Estratto dalla pagina (testo)

& XalS dEx = undo (r2+X 2]312 Dato che si tratta di una distribuzione continua di cariche puntiformi, la somma dei contributi infinitesimi del compo elettrico dovuto a ciascuno di essi si può tramutare in un integrale che mi restituirà Ex.

Cosa segue

Pagina 12: Calcolo il compo elettrico in un punto posizionato arbitrariamente sull'assez (potrebbe anche non esserlo).

Pagina 11
Pagina 11 (AppuntiFII)Apri immagine

Pagina 12 - Calcolo il compo elettrico in un punto posizionato arbitrariamente sull'assez (potrebbe anche non esserlo).

Tema: Elettrostatica
Riassunto guidato

Qui si introducono i concetti base di carica elettrica e interazione elettrostatica: forza tra cariche (Coulomb), campo elettrico e principio di sovrapposizione, con esempi di calcolo.

Estratto dalla pagina (testo)

Calcolo il compo elettrico in un punto posizionato arbitrariamente sull'assez (potrebbe anche non esserlo). Per forlo, divido il piano in tante strisce che posso assumere come delle linee aventi densità di carica lineare I = 50. Per il principio di sovrapposizione, avrò che il campo elettrico totale nel punto scelto sarà la somma dei contributi infinitesimi dovuti a ciascuna striscia.

Cosa segue

Pagina 13: a) disco piRaggio R uniformemente carico Calcoliamo il compo elettrico in un punto a ↑da R

Pagina 12
Pagina 12 (AppuntiFII)Apri immagine

Pagina 13 - a) disco piRaggio R uniformemente carico Calcoliamo il compo elettrico in un punto a ↑da R

Tema: Elettrostatica
Riassunto guidato

Qui si introducono i concetti base di carica elettrica e interazione elettrostatica: forza tra cariche (Coulomb), campo elettrico e principio di sovrapposizione, con esempi di calcolo.

Estratto dalla pagina (testo)

a) disco piRaggio R uniformemente carico Calcoliamo il compo elettrico in un punto a ↑da R distanzax dalla distribuzione di carica. Per M forlo, dividiamo il disco in tanti anchi di X = 0 spessore infinitesimo.

Cosa segue

Pagina 14: Intrand dr = -I RE (Ri = IR Ez=36 E = Campo elettrico in un

Pagina 13
Pagina 13 (AppuntiFII)Apri immagine

Pagina 14 - Intrand dr = -I RE (Ri = IR Ez=36 E = Campo elettrico in un

Tema: Elettrostatica
Riassunto guidato

Qui si introducono i concetti base di carica elettrica e interazione elettrostatica: forza tra cariche (Coulomb), campo elettrico e principio di sovrapposizione, con esempi di calcolo.

Estratto dalla pagina (testo)

Intrand dr = -I RE (Ri = IR Ez=36 E = Campo elettrico in un punto posto sulla superficie di Una SFERA UNIFORMEMENTE CARICA Come si può motore dal risultato, in questo caso la stela si comporta come una corica puntiforme tole per cui la carica totale è concentrata nel centro.

Cosa segue

Pagina 15: sferico è nullo. u/nol zo24 Tutta la carica elettrica che siMova al di sopra di

Pagina 14
Pagina 14 (AppuntiFII)Apri immagine

Pagina 15 - sferico è nullo. u/nol zo24 Tutta la carica elettrica che siMova al di sopra di

Tema: Elettrostatica
Riassunto guidato

Qui si introducono i concetti base di carica elettrica e interazione elettrostatica: forza tra cariche (Coulomb), campo elettrico e principio di sovrapposizione, con esempi di calcolo.

Estratto dalla pagina (testo)

sferico è nullo. u/nol zo24 Tutta la carica elettrica che siMova al di sopra di P non influisce in termini di compo eletrico. Di conseguenza, R - > Guscio SFERico l'unico contributo rimane quello della sfera & r.

Cosa segue

Pagina 16: Flusso Del CAMPO ELETTRICO e legge Di GAUSS - Vale per qualunque campo elettrico (non solo elettrostatico

Pagina 15
Pagina 15 (AppuntiFII)Apri immagine

Pagina 16 - Flusso Del CAMPO ELETTRICO e legge Di GAUSS - Vale per qualunque campo elettrico (non solo elettrostatico

Tema: Legge di Gauss
Riassunto guidato

Qui si collega il flusso del campo elettrico alla carica racchiusa (legge di Gauss) e si sfruttano simmetrie (piana, cilindrica, sferica) per ricavare \(\mathbf{E}\).

Estratto dalla pagina (testo)

Flusso Del CAMPO ELETTRICO e legge Di GAUSS - Vale per qualunque campo elettrico (non solo elettrostatico Prendiamo in considerazione una superficie nella quale il compo elettrico non sia necessariamente uniforme. Preso un elementino dS di quest'ultima che abbia area infinitesima, posso considerare in essa È costante.

Cosa segue

Pagina 17: Flusso Di Campo elettrico Attraverso superfici Chiuse I Eli Per calcolare il

Pagina 16
Pagina 16 (AppuntiFII)Apri immagine

Pagina 17 - Flusso Di Campo elettrico Attraverso superfici Chiuse I Eli Per calcolare il

Tema: Elettrostatica
Riassunto guidato

Qui si introducono i concetti base di carica elettrica e interazione elettrostatica: forza tra cariche (Coulomb), campo elettrico e principio di sovrapposizione, con esempi di calcolo.

Estratto dalla pagina (testo)

Flusso Di Campo elettrico Attraverso superfici Chiuse I Eli Per calcolare il flusso attraverso una superficie chiuso, si divide quest'ultima in tanti elementini ognuno con diversa (per E'n convenzione, si assume il verso diuscente dalla superficie) FLUSSO Di CAMPO ELETTRICO DOVUTO Ad UNA CARICA POSTA AL CENTRO Di UNA SUPERFICIE SFERICA E Dividiamo la sfera in tanti elementini di superficie.

Cosa segue

Pagina 18: dAL da perché: 1) Si trovano a distanze diverse da q e una

Pagina 17
Pagina 17 (AppuntiFII)Apri immagine

Pagina 18 - dAL da perché: 1) Si trovano a distanze diverse da q e una

Tema: Elettrostatica
Riassunto guidato

Qui si introducono i concetti base di carica elettrica e interazione elettrostatica: forza tra cariche (Coulomb), campo elettrico e principio di sovrapposizione, con esempi di calcolo.

Estratto dalla pagina (testo)

dAL da perché: 1) Si trovano a distanze diverse da q e una superficie dipende dall'altra secondo la relazione da = da: 2) Più aumenta l'angolo che forma con la direzione radiale, più la superficie aumenta. dPest: E(r)costda costda da di Dato che questa guaglianza vale qualsiasi cono io prenda, posso concludere che d(E) = S, onaS = per qualunque superficie arbitraria.

Cosa segue

Pagina 19: FLUSSO Di CAMPO ELETTRICO DOVUTO A Una Carica INTERNA/ esterna Ad

Pagina 18
Pagina 18 (AppuntiFII)Apri immagine

Pagina 19 - FLUSSO Di CAMPO ELETTRICO DOVUTO A Una Carica INTERNA/ esterna Ad

Tema: Legge di Gauss
Riassunto guidato

Qui si collega il flusso del campo elettrico alla carica racchiusa (legge di Gauss) e si sfruttano simmetrie (piana, cilindrica, sferica) per ricavare \(\mathbf{E}\).

Estratto dalla pagina (testo)

FLUSSO Di CAMPO ELETTRICO DOVUTO A Una Carica INTERNA/ esterna Ad Una SUPERFICIE CON RIENTANZE In questo caso, il coro scelto abitrariamente taglierà la superficie più di due volte Carica interna: Carica esterna: le tre superfici 9 sottendono lo Stesso d Angolo saiso, da & trsso monte nume dQ si Annullano annuumun ↓ Supponiamo di avere una distribuzione di carica di densitàf non necessariamente uniforme: S' Per…

Cosa segue

Pagina 20: dax = d + da = [v(x+ax) - v(x)]dydz = [v(x+dx) - v(x)]dydz I vx(x+dx) - v(x) dxdydzddyd dx Ripetendo

Pagina 19
Pagina 19 (AppuntiFII)Apri immagine

Pagina 20 - dax = d + da = [v(x+ax) - v(x)]dydz = [v(x+dx) - v(x)]dydz I vx(x+dx) - v(x) dxdydzddyd dx Ripetendo

Tema: Legge di Gauss
Riassunto guidato

Qui si collega il flusso del campo elettrico alla carica racchiusa (legge di Gauss) e si sfruttano simmetrie (piana, cilindrica, sferica) per ricavare \(\mathbf{E}\).

Estratto dalla pagina (testo)

dax = d + da = [v(x+ax) - v(x)]dydz = [v(x+dx) - v(x)]dydz I vx(x+dx) - v(x) dxdydzddyd dx Ripetendo lo stesso regionamento per le altre coppie di facce ottengo quindi che: daddyd, dadd, d Di conseguenza, il flusso complessivo è d -dax + dy + dz =(dydz = Integrando: ↑(i) =S.

Cosa segue

Pagina 21: Lóperatore gradiente nabla (5), in uno spazio tridimensionale generato da un sistema di coordinate cortesiane

Pagina 20
Pagina 20 (AppuntiFII)Apri immagine

Pagina 21 - Lóperatore gradiente nabla (5), in uno spazio tridimensionale generato da un sistema di coordinate cortesiane

Tema: Elettrostatica
Riassunto guidato

Qui si introducono i concetti base di carica elettrica e interazione elettrostatica: forza tra cariche (Coulomb), campo elettrico e principio di sovrapposizione, con esempi di calcolo.

Estratto dalla pagina (testo)

Lóperatore gradiente nabla (5), in uno spazio tridimensionale generato da un sistema di coordinate cortesiane X, y, z con versari indicati,, è definito nel seguente modo: t v =i +g + m PresoQuindiuncupandoSe ↳prodoto Scalare =E Se in una regione dello spazio ho che in tutti i punti di essa si ha =o, si dice che i è un compo solenoidale.

Cosa segue

Pagina 22: Sondaz e flusso uscente nella superficie S - Sonds + flusso entrante nella superficie Si (senza il

Pagina 21
Pagina 21 (AppuntiFII)Apri immagine

Pagina 22 - Sondaz e flusso uscente nella superficie S - Sonds + flusso entrante nella superficie Si (senza il

Tema: Legge di Gauss
Riassunto guidato

Qui si collega il flusso del campo elettrico alla carica racchiusa (legge di Gauss) e si sfruttano simmetrie (piana, cilindrica, sferica) per ricavare \(\mathbf{E}\).

Estratto dalla pagina (testo)

Sondaz e flusso uscente nella superficie S - Sonds + flusso entrante nella superficie Si (senza il - sarebbe stato uscente Di conseguenza, se v è solenoidale il flusso di campo entrante in Si è uguale a quello uscente in S2 (supponendo che non ci siano ne sorgenti ne pozzi ↓ FATTORI CHE FATTORI CHE AUMENTANO IL FLUSSO DIMINUISCONO IL FLUSSO Dent < Qusc DentcQusc Prendiamo in considerazione una linea chiusa e una…

Cosa segue

Pagina 23: Se P fosse un punto di equilibrio stabile, le forze dovrebbero essere tutte

Pagina 22
Pagina 22 (AppuntiFII)Apri immagine

Pagina 23 - Se P fosse un punto di equilibrio stabile, le forze dovrebbero essere tutte

Tema: Legge di Gauss
Riassunto guidato

Qui si collega il flusso del campo elettrico alla carica racchiusa (legge di Gauss) e si sfruttano simmetrie (piana, cilindrica, sferica) per ricavare \(\mathbf{E}\).

Estratto dalla pagina (testo)

Se P fosse un punto di equilibrio stabile, le forze dovrebbero essere tutte dirette verso ↓ P: tuttavia, ciò vorrebbe dire che anche in assenza di +a il campo elettrico dovuto alle superficie contenent cariche - q dovrebbe essere anch'esso diretto ↳ cariche come le forze.

Cosa segue

Pagina 24: a) campo dique piani infiniti, paralleli e di carica opposta t Applicando al sistema il

Pagina 23
Pagina 23 (AppuntiFII)Apri immagine

Pagina 24 - a) campo dique piani infiniti, paralleli e di carica opposta t Applicando al sistema il

Tema: Elettrostatica
Riassunto guidato

Qui si introducono i concetti base di carica elettrica e interazione elettrostatica: forza tra cariche (Coulomb), campo elettrico e principio di sovrapposizione, con esempi di calcolo.

Estratto dalla pagina (testo)

a) campo dique piani infiniti, paralleli e di carica opposta t - Applicando al sistema il principio di - sovrapposizione, attengo che nelle regioni 3 E= 0 di spazio esterneai piani di carica il compo E risultante è nullo, mentre nel volume delimitato da essi il compo è E = Se le ↑ t - > x linee di forza puntano dal piano di carica positiva a quello di carica negativa.

Cosa segue

Pagina 25: Poniamo per assurdo di avere un campo eletrico tale per cui Ex Calcolo il flusso di campo

Pagina 24
Pagina 24 (AppuntiFII)Apri immagine

Pagina 25 - Poniamo per assurdo di avere un campo eletrico tale per cui Ex Calcolo il flusso di campo

Tema: Elettrostatica
Riassunto guidato

Qui si introducono i concetti base di carica elettrica e interazione elettrostatica: forza tra cariche (Coulomb), campo elettrico e principio di sovrapposizione, con esempi di calcolo.

Estratto dalla pagina (testo)

Poniamo per assurdo di avere un campo eletrico tale per cui Ex Calcolo il flusso di campo elettrico: E &(E) = JEondS = Egür = = hür ⑧ N 9 #(E)= atterrei un flusso che oltre a dipendere da a dipende da r, il che implicherebbe che per una sfera di ro potrei ottenere un flusso infinito, il che è impossibile.

Cosa segue

Pagina 26: Consideriamo adesso un agente esterno che applica alla carica una forza uguale

Pagina 25
Pagina 25 (AppuntiFII)Apri immagine

Pagina 26 - Consideriamo adesso un agente esterno che applica alla carica una forza uguale

Tema: Potenziale elettrico
Riassunto guidato

Qui si introduce il potenziale elettrico \(V\) e il legame \(\mathbf{E}=-\nabla V\), discutendo superfici equipotenziali, lavoro e proprietà conservative del campo.

Estratto dalla pagina (testo)

Consideriamo adesso un agente esterno che applica alla carica una forza uguale e contraria a quella dovuta da (F). Al lavoro di questa forza nel percorso Azi è Wate (agente esterno) = --Fode Considerando la carica unitaria, ottengo: Ware(unitario) = -So de Nel caso in cui le sorgenti di È siano forme, si può dimostrane che W ma dipende dal percorso fatto e che quindi la forza elettrostatica Fe è Conservativa.

Cosa segue

Pagina 27: Wa+B Cunitario) =- Pergo A = Po e B = P (Pha quindi distanza r dall'origine):

Pagina 26
Pagina 26 (AppuntiFII)Apri immagine

Pagina 27 - Wa+B Cunitario) =- Pergo A = Po e B = P (Pha quindi distanza r dall'origine):

Tema: Elettrostatica
Riassunto guidato

Qui si introducono i concetti base di carica elettrica e interazione elettrostatica: forza tra cariche (Coulomb), campo elettrico e principio di sovrapposizione, con esempi di calcolo.

Estratto dalla pagina (testo)

Wa+B Cunitario) =- Pergo A = Po e B = P (Pha quindi distanza r dall'origine): V(P) - V(P) = V(r) = + Dal risultato si intuisce che tutti i punti a " V(n) distanzar dall'origine hanno lo stesso V o = 0 = = - Analogia con la glavitazione di Menton: · M Fa = -GAM, Va(r)=- Var · m e Sorgente del t ↳potenziale CAMPO GRAVITAZIONALE GRAVITAZIONALE - - potenziale elettrostatico di un sistema di cariche discrete.

Cosa segue

Pagina 28: CORRELAZIONE TRA CAMPO ELETTRICO E POTENZIALE zn Il lavoro di Cunitario) svolto per

Pagina 27
Pagina 27 (AppuntiFII)Apri immagine

Pagina 28 - CORRELAZIONE TRA CAMPO ELETTRICO E POTENZIALE zn Il lavoro di Cunitario) svolto per

Tema: Potenziale elettrico
Riassunto guidato

Qui si introduce il potenziale elettrico \(V\) e il legame \(\mathbf{E}=-\nabla V\), discutendo superfici equipotenziali, lavoro e proprietà conservative del campo.

Estratto dalla pagina (testo)

CORRELAZIONE TRA CAMPO ELETTRICO E POTENZIALE zn Il lavoro di Cunitario) svolto per spostare la carica del tratto dx è: Y > Y dWCunitario) = V(x +dx, y.

Cosa segue

Pagina 29: La variazione del campo scalare nel tratto de è quindi pari al prodotto scalare del gradiente di U per il...

Pagina 28
Pagina 28 (AppuntiFII)Apri immagine

Pagina 29 - La variazione del campo scalare nel tratto de è quindi pari al prodotto scalare del gradiente di U per il...

Tema: Potenziale elettrico
Riassunto guidato

Qui si introduce il potenziale elettrico \(V\) e il legame \(\mathbf{E}=-\nabla V\), discutendo superfici equipotenziali, lavoro e proprietà conservative del campo.

Estratto dalla pagina (testo)

La variazione del campo scalare nel tratto de è quindi pari al prodotto scalare del gradiente di U per il vettore de: di =V-de Qualè il significato del vettoreF? Consideriamo una, superficie di livello, passante per un punto P ↳Luogo di punti definiti da [(X, y, z) =(P) = cost (nel caso in cui ho una superficieS(x, y), una curva di livello passante per P(xo, yo) sarà il luogo di punti definiti da,S(x,y) =,S'(P) =…

Cosa segue

Pagina 30: Se lo spostamento non è parallelo aT svolgo la derivata direzionale lungo:

Pagina 29
Pagina 29 (AppuntiFII)Apri immagine

Pagina 30 - Se lo spostamento non è parallelo aT svolgo la derivata direzionale lungo:

Tema: Maxwell e onde EM
Riassunto guidato

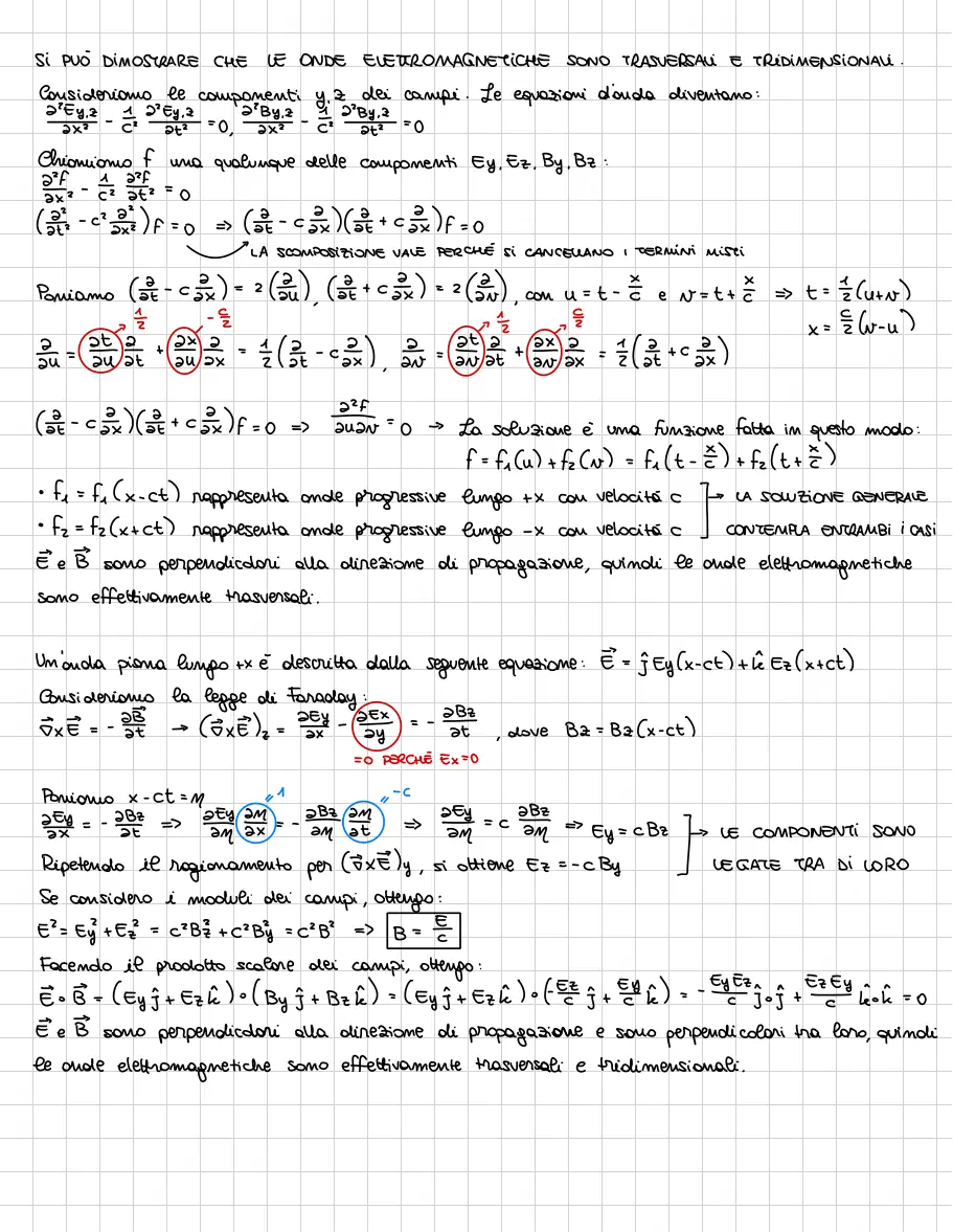
Qui si unificano i fenomeni con le equazioni di Maxwell e si studiano onde elettromagnetiche, energia/flussso (vettore di Poynting) e propagazione.

Estratto dalla pagina (testo)

Se lo spostamento non è parallelo aT svolgo la derivata - direzionale lungo: un S d =V. de = UUdecost =UUUcosO-caso ju e un vettore? DIMOSTRAZIONE Per for si cheV sia un vettore, deve soddisfare tutte le proprietà dei vettori: ad esempio, deve essere invariante rispetto ad una trasformazione delle coordinate.

Cosa segue

Pagina 31: (An alternativa, si sarebbe potuto dimostrare più semplicemente spiegando che dato che vale la relazione

Pagina 30
Pagina 30 (AppuntiFII)Apri immagine

Pagina 31 - (An alternativa, si sarebbe potuto dimostrare più semplicemente spiegando che dato che vale la relazione

Tema: Dielettrici
Riassunto guidato

Qui si introduce la polarizzazione dei dielettrici e le grandezze macroscopiche \(\mathbf{P}\) e \(\mathbf{D}\), con relazione costitutiva e implicazioni su campo e potenziale.

Estratto dalla pagina (testo)

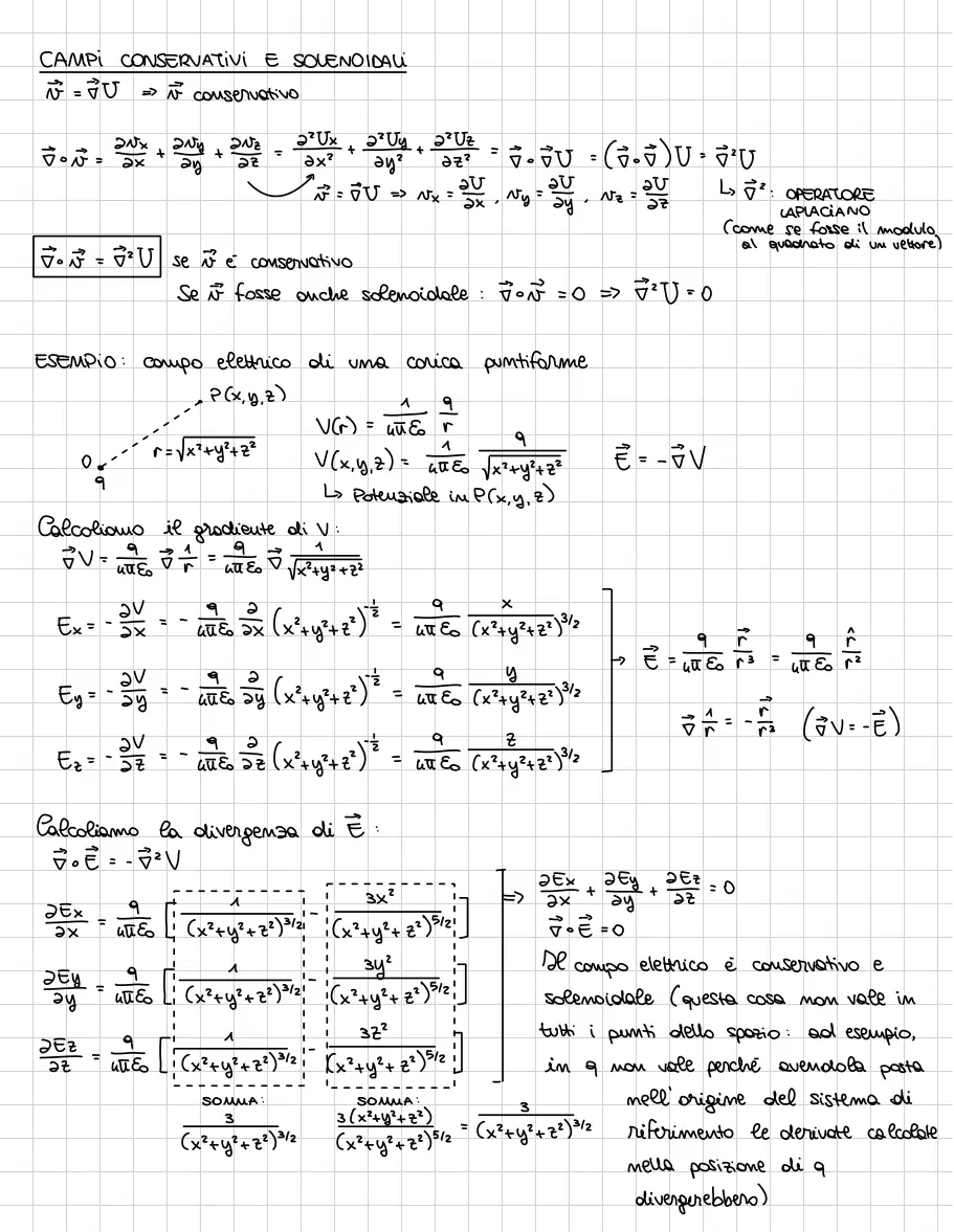
(An alternativa, si sarebbe potuto dimostrare più semplicemente spiegando che dato che vale la relazione di = itode e di è uno scalare mentre d un vettore, allora necessariamenteU deve essere un vettore) Campi CONSERVATIVI Dato un compo scalare [(x, y, z), posso sempre costruire il campo vettoriale = Dato un compo vettoriale i, posso trovare una funzione scalare [(X, y,z) tale che =t? Non sempre Se trovo un I tale…

Cosa segue

Pagina 32: Campi CONSERVATIVI e SOLENDIDAli =V = conservativo = = vx = vy= ↳:

Pagina 31
Pagina 31 (AppuntiFII)Apri immagine

Pagina 32 - Campi CONSERVATIVI e SOLENDIDAli =V = conservativo = = vx = vy= ↳:

Tema: Potenziale elettrico
Riassunto guidato

Qui si introduce il potenziale elettrico \(V\) e il legame \(\mathbf{E}=-\nabla V\), discutendo superfici equipotenziali, lavoro e proprietà conservative del campo.

Estratto dalla pagina (testo)

Campi CONSERVATIVI e SOLENDIDAli =V = conservativo = = vx = vy= ↳: operatore AAPLACIANO Come se fosse il modulo al quadrato di un vettore) = 2 se o è conservativo Se i fosse anche solenoidale:on = 0 = = 0 Esempio: compo elettrico di una carica puntiforme · P(X, y.z) 0.

Cosa segue

Pagina 33: Esempio: campo magnetico Il campo magnetico è solenoidale ovunque (o = 0 sempre) e non

Pagina 32
Pagina 32 (AppuntiFII)Apri immagine

Pagina 33 - Esempio: campo magnetico Il campo magnetico è solenoidale ovunque (o = 0 sempre) e non

Tema: Legge di Gauss
Riassunto guidato

Qui si collega il flusso del campo elettrico alla carica racchiusa (legge di Gauss) e si sfruttano simmetrie (piana, cilindrica, sferica) per ricavare \(\mathbf{E}\).

Estratto dalla pagina (testo)

Esempio: campo magnetico Il campo magnetico è solenoidale ovunque (o = 0 sempre) e non posso trovare alcuna funzione V tale che = J rotore di un campo vettoriale:X (oppuresi) = (5xv)y (5Xv)z NX Ny Vz TEOREMA Di STOLES consideriamo una linea chiusa l' percorsa in senso artiordio (scelta Arbitraria), ed una superficieS' che oppoggia su di essa.

Cosa segue

Pagina 34: Ripeto il ragionamento per dei rettangolini infinitesimi paralleli al piano [x, y] e [x, z):

Pagina 33
Pagina 33 (AppuntiFII)Apri immagine

Pagina 34 - Ripeto il ragionamento per dei rettangolini infinitesimi paralleli al piano [x, y] e [x, z):

Tema: Potenziale elettrico
Riassunto guidato

Qui si introduce il potenziale elettrico \(V\) e il legame \(\mathbf{E}=-\nabla V\), discutendo superfici equipotenziali, lavoro e proprietà conservative del campo.

Estratto dalla pagina (testo)

Ripeto il ragionamento per dei rettangolini infinitesimi paralleli al piano [x, y] e [x, z): Y - M Pu E Po Circuitazione totale: L dSz n= dy (ddy() S (X) z dSz In Percorsi Elementari Pr dx Pz flsso del Rotore > X AttraversoSe Che GIACCIONO SUI TRE Z Piani Coordinati Il T M Pu E Po Circuitazione totale: TEOREMA Di Stokes L n = g (dzdx = (n +xv)oYdSy risulta DIMOSTRATO dSy ↑dz Coxily' day' S Pr dx Pz flsso del Rotore…

Cosa segue

Pagina 35: PROPRIETÀ DI EX 1)·x = 0 (divergenza del rotore nula) =(xv)x + (xv)y + (xv)z = =( = 0

Pagina 34
Pagina 34 (AppuntiFII)Apri immagine

Pagina 35 - PROPRIETÀ DI EX 1)·x = 0 (divergenza del rotore nula) =(xv)x + (xv)y + (xv)z = =( = 0

Tema: Potenziale elettrico
Riassunto guidato

Qui si introduce il potenziale elettrico \(V\) e il legame \(\mathbf{E}=-\nabla V\), discutendo superfici equipotenziali, lavoro e proprietà conservative del campo.

Estratto dalla pagina (testo)

PROPRIETÀ DI EX 1)·x = 0 (divergenza del rotore nula) =(xv)x + (xv)y + (xv)z = =( = 0 (i termini sialle a coppiel 2)xt (rotore del gradiente di E nund =V è conservativo, quindi Z,..

Cosa segue

Pagina 36: Calcoliamo il potenziale in un punto P(X, y, z) dello spazio dovuto a

Pagina 35
Pagina 35 (AppuntiFII)Apri immagine

Pagina 36 - Calcoliamo il potenziale in un punto P(X, y, z) dello spazio dovuto a

Tema: Elettrostatica
Riassunto guidato

Qui si introducono i concetti base di carica elettrica e interazione elettrostatica: forza tra cariche (Coulomb), campo elettrico e principio di sovrapposizione, con esempi di calcolo.

Estratto dalla pagina (testo)

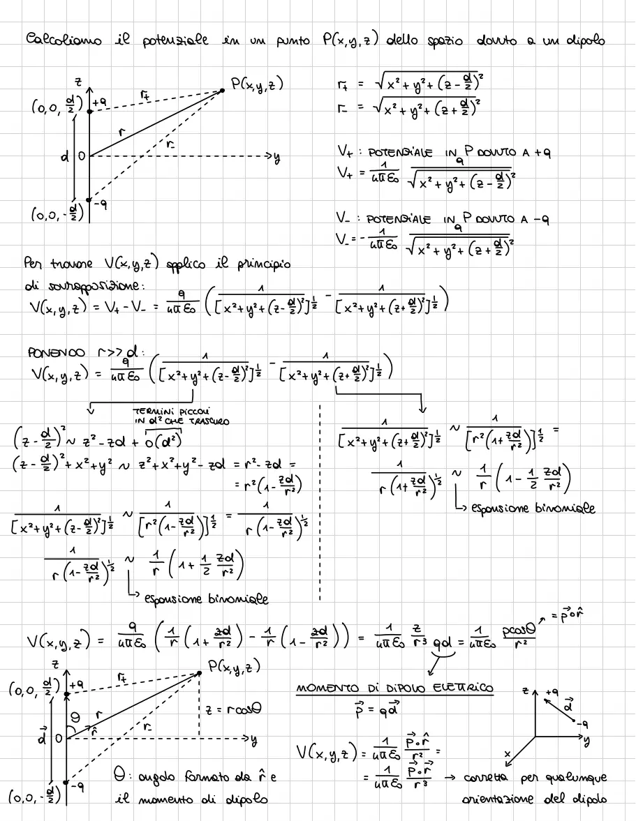
Calcoliamo il potenziale in un punto P(X, y, z) dello spazio dovuto a un dipolo Z · P(x, y,z) m = vx + y + (z = a) (0, 0, ↑ = = wx + y + (z + 2) h E do < Y Vt: potenziale inPdovuto a V+ = E yx + y + (z = a) 10, 0.. -a Ve: potenziale inPdovuto a V. =- yx + y + (z + 2) Per trovare V(X, y,z) applico il principio di sovrapposizione: v(x, y, z) = V+ - V.

Cosa segue

Pagina 37: 11/10/2024 Potenziale dipolo elettrico:

Pagina 36
Pagina 36 (AppuntiFII)Apri immagine

Pagina 37 - 11/10/2024 Potenziale dipolo elettrico:

Tema: Elettrostatica
Riassunto guidato

Qui si introducono i concetti base di carica elettrica e interazione elettrostatica: forza tra cariche (Coulomb), campo elettrico e principio di sovrapposizione, con esempi di calcolo.

Estratto dalla pagina (testo)

11/10/2024 Potenziale dipolo elettrico: V (x, y,z)= Campo eletrico: È(x, y,z) = - *V(x, y,z) È lungo l'assez: por = pz V(x,y,z)= 2 + 723/2 = (x+y2 + z))- Ex ==-3) +z) = Ey = -= Ez:---- potenziale di una distribuzione Arbitraria di Carica (e momento di dipolo En 6 9 P Potenziale in Polovuto a gi: 8 di R Vi= 8 > Y Il potenziale in Pdovuto a un sistema di N cariche i =- (possono avere segno qualunque): * ri =IIr-dill…

Cosa segue

Pagina 38: ↑RR Applica la relazionegurFE, con E1 SvilPRO In Serie TRONCATO Dopo Il PRIMO TERMINE ~(+

Pagina 37
Pagina 37 (AppuntiFII)Apri immagine

Pagina 38 - ↑RR Applica la relazionegurFE, con E1 SvilPRO In Serie TRONCATO Dopo Il PRIMO TERMINE ~(+

Tema: Potenziale elettrico
Riassunto guidato

Qui si introduce il potenziale elettrico \(V\) e il legame \(\mathbf{E}=-\nabla V\), discutendo superfici equipotenziali, lavoro e proprietà conservative del campo.

Estratto dalla pagina (testo)

↑RR Applica la relazionegurFE, con E1 SvilPRO In Serie TRONCATO Dopo Il PRIMO TERMINE ~(+ (se il primo termine è nullo si deve passare a Quello Successivo) Calcolo il potenziale in P: v= I * ↓ V= termine che -gio momento di dipolo si annulla se a = 0 Di UN SISTEMA potenziale di dipolo (o potenziale Arbitrario Dicariche Elettrico nell'approssimazione di diPord) La formulazione del momento di dipolo di un sistema…

Cosa segue

Pagina 39: *Nell'approssimazione fatta, ci sono casi in ci anche p = 0 Esempio:

Pagina 38
Pagina 38 (AppuntiFII)Apri immagine

Pagina 39 - *Nell'approssimazione fatta, ci sono casi in ci anche p = 0 Esempio:

Tema: Elettrostatica
Riassunto guidato

Qui si introducono i concetti base di carica elettrica e interazione elettrostatica: forza tra cariche (Coulomb), campo elettrico e principio di sovrapposizione, con esempi di calcolo.

Estratto dalla pagina (testo)

*Nell'approssimazione fatta, ci sono casi in ci anche p = 0 Esempio: · 93 = - 9 · 91 = + 29 P = 0, Q = 0: devo perciò considerare il termine successivo nello sviluppo in serie · 92 = -9 Cespansione in multipoli> QuadruPoo ELETTRICO) Consideriamo un sistema di due cariche: · 92 Calcoliamo l'energia del sistema delle Mez die coriche: & /Mode = -È la sorgente del compo elettrico in cui2 è immerso e soggetto = Ve(rez)…

Cosa segue

Pagina 40: Q(r) = Surig Dato che da dista r da QCr), posso scrivere:

Pagina 39
Pagina 39 (AppuntiFII)Apri immagine

Pagina 40 - Q(r) = Surig Dato che da dista r da QCr), posso scrivere:

Tema: Elettrostatica
Riassunto guidato

Qui si introducono i concetti base di carica elettrica e interazione elettrostatica: forza tra cariche (Coulomb), campo elettrico e principio di sovrapposizione, con esempi di calcolo.

Estratto dalla pagina (testo)

Q(r) = Surig Dato che da dista r da QCr), posso scrivere: da = würdrf - ↳ volme del guscio sferico di spessore infinitesimo di d=dürgürdrendr un Er perrenergie inte =ris + Lavoro richiesto per assemblare il sistema dall'infinito alle posizioni finali Come esplimo correttamente il simbolo di sommatoria? treir, anche nonae i = 3=scitura cor I 'L Questa formula è adattabile ad una distribuzione continua di coliche: zN…

Cosa segue

Pagina 41: 14/10/202u = ESV)g)di e dove localizzata l'energia elettrostatica? L'energia elettrostatica è

Pagina 40
Pagina 40 (AppuntiFII)Apri immagine

Pagina 41 - 14/10/202u = ESV)g)di e dove localizzata l'energia elettrostatica? L'energia elettrostatica è

Tema: Elettrostatica
Riassunto guidato

Qui si introducono i concetti base di carica elettrica e interazione elettrostatica: forza tra cariche (Coulomb), campo elettrico e principio di sovrapposizione, con esempi di calcolo.

Estratto dalla pagina (testo)

14/10/202u = ESV)g)di e dove localizzata l'energia elettrostatica? L'energia elettrostatica è localizzata dove si trova il campo elettrostatico. Esempio: cariche in moto accelerato ↑ Qualunque carica in moto accelerato irradia onde elettromagnetiche · a (es. moto circolare uniforme). Le onde elettromagnetiche sono dei campi elettrici variabili nel tempo, i quali producono un compo magnetico.

Cosa segue

Pagina 42: * Dimostrazione (considerando l'ambito dell'elettrostatica Lenergia elettrostatica del sistema è:

Pagina 41
Pagina 41 (AppuntiFII)Apri immagine

Pagina 42 - * Dimostrazione (considerando l'ambito dell'elettrostatica Lenergia elettrostatica del sistema è:

Tema: Legge di Gauss
Riassunto guidato

Qui si collega il flusso del campo elettrico alla carica racchiusa (legge di Gauss) e si sfruttano simmetrie (piana, cilindrica, sferica) per ricavare \(\mathbf{E}\).

Estratto dalla pagina (testo)

* Dimostrazione (considerando l'ambito dell'elettrostatica Lenergia elettrostatica del sistema è: V = ESg(r) V(r) dan Applicando la legge di Gauss (Fo =) e considerando che se È è elettrostatico, allora E = -V, si ottiene: -V==- j = -VE ↳Equazione Di POISSON L'energia V diventa quindi: = ESg(r) V(r) d = - EVEVdin VEV =V/) - per ciascuna componente del Caplaciano di V, ho che: 2 =(V) -(*) per far si che l'uguaglianza…

Cosa segue

Pagina 43: ENERGIA Di UNA CARICA PUNTIFORME · P M Compo elettrico in P: E= Densità di energia

Pagina 42
Pagina 42 (AppuntiFII)Apri immagine

Pagina 43 - ENERGIA Di UNA CARICA PUNTIFORME · P M Compo elettrico in P: E= Densità di energia

Tema: Elettrostatica
Riassunto guidato

Qui si introducono i concetti base di carica elettrica e interazione elettrostatica: forza tra cariche (Coulomb), campo elettrico e principio di sovrapposizione, con esempi di calcolo.

Estratto dalla pagina (testo)

ENERGIA Di UNA CARICA PUNTIFORME · P M Compo elettrico in P: E= Densità di energia: u = E ora 9 Usandoordinatferiche d, si trovnegie e!!! Come è possibile che si ottenga questo risultato? Generalmente l'energia elettrostatica di un sistema di N cariche (Veris) è definita come l'energia necessaria ad assemblare il sistema di coriche.

Cosa segue

Pagina 44: Es = -po Se il dipolo fosse una molecola /elettricamente meutra, ma con la carica distribuita in maniera...

Pagina 43
Pagina 43 (AppuntiFII)Apri immagine

Pagina 44 - Es = -po Se il dipolo fosse una molecola /elettricamente meutra, ma con la carica distribuita in maniera...

Tema: Conduttori e capacità
Riassunto guidato

Qui si studiano i conduttori in equilibrio elettrostatico (campo nullo all'interno, cariche sulla superficie), induzione, schermatura e capacità/condensatori con esempi tipici.

Estratto dalla pagina (testo)

Es = -po Se il dipolo fosse una molecola /elettricamente meutra, ma con la carica distribuita in maniera asimmetrica) la coppia di forze elettriche E che ogiscono sulle coriche positive in un verso e sulle cariche negative -- --.

Cosa segue

Pagina 45: nel senso che la loro velocità dipende dalla temperatura 7 a cui si trova il

Pagina 44
Pagina 44 (AppuntiFII)Apri immagine

Pagina 45 - nel senso che la loro velocità dipende dalla temperatura 7 a cui si trova il

Tema: Conduttori e capacità
Riassunto guidato

Qui si studiano i conduttori in equilibrio elettrostatico (campo nullo all'interno, cariche sulla superficie), induzione, schermatura e capacità/condensatori con esempi tipici.

Estratto dalla pagina (testo)

nel senso che la loro velocità dipende dalla temperatura 7 a cui si trova il conduttore. La velocità media degli elettroni in un conduttore è nulla, ed esso presenta a prescindere dal fatto che gli elettroni si muovono o meno una densità di carica nulla (appare quindi elettricamente meutro.

Cosa segue

Pagina 46: COME CARICARE UN CONDUTTORE Prendiamo nuovamente in considerazione il sistema bacchetta carica negativamente-

Pagina 45
Pagina 45 (AppuntiFII)Apri immagine

Pagina 46 - COME CARICARE UN CONDUTTORE Prendiamo nuovamente in considerazione il sistema bacchetta carica negativamente-

Tema: Legge di Gauss
Riassunto guidato

Qui si collega il flusso del campo elettrico alla carica racchiusa (legge di Gauss) e si sfruttano simmetrie (piana, cilindrica, sferica) per ricavare \(\mathbf{E}\).

Estratto dalla pagina (testo)

COME CARICARE UN CONDUTTORE Prendiamo nuovamente in considerazione il sistema bacchetta carica negativamente- conduttore: se collego con un filo metallico il conduttore alla Terra, gli elettroni dell'addensamento che si è creato con la bacchetta viaggiano dal conduttore attraverso il filo arrivando alla Terra. Lentamente quindi il conduttore perde elettroni e il bilancio metto delle cariche in C non è più nullo.

Cosa segue

Pagina 47: superficie diC, la colica in eccesso per for si che rimanga Zai = o (in,S') deve necessariamente essere...

Pagina 46
Pagina 46 (AppuntiFII)Apri immagine

Pagina 47 - superficie diC, la colica in eccesso per for si che rimanga Zai = o (in,S') deve necessariamente essere...

Tema: Legge di Gauss
Riassunto guidato

Qui si collega il flusso del campo elettrico alla carica racchiusa (legge di Gauss) e si sfruttano simmetrie (piana, cilindrica, sferica) per ricavare \(\mathbf{E}\).

Estratto dalla pagina (testo)

superficie diC, la colica in eccesso per for si che rimanga Zai = o (in,S') deve necessariamente essere distribuita sulla superficie del conduttore. Ed Se all'interno del conduttore = V = 0, vuol dise M + + + + + 7 che V è costante in tutti i punti di C' e la sua superficie + + è equipotenziale: di conseguenza, il compo elettrico è t + E = 0 t perpendicolare a ogni punto della superficie di G.

Cosa segue

Pagina 48: In un punto P fuori dal conduttore si ha == +En => =- In un punto P

Pagina 47
Pagina 47 (AppuntiFII)Apri immagine

Pagina 48 - In un punto P fuori dal conduttore si ha == +En => =- In un punto P

Tema: Elettrostatica
Riassunto guidato

Qui si introducono i concetti base di carica elettrica e interazione elettrostatica: forza tra cariche (Coulomb), campo elettrico e principio di sovrapposizione, con esempi di calcolo.

Estratto dalla pagina (testo)

In un punto P fuori dal conduttore si ha == +En => =- In un punto P * dentro il conduttore ed estremamente vicino alla superficie si ha =- = E + E = 0 CONDUTTORE CAVO t t + + + + + + + Prendiamo in considerazione un conduttore cavo carico positivamente.

Cosa segue

Pagina 49: se Cin fosse non carico sia se verisse caricato tramite

Pagina 48
Pagina 48 (AppuntiFII)Apri immagine

Pagina 49 - se Cin fosse non carico sia se verisse caricato tramite

Tema: Conduttori e capacità
Riassunto guidato

Qui si studiano i conduttori in equilibrio elettrostatico (campo nullo all'interno, cariche sulla superficie), induzione, schermatura e capacità/condensatori con esempi tipici.

Estratto dalla pagina (testo)

se Cin fosse non carico sia se verisse caricato tramite induzione. Di conseguenza, in questo caso il conduttore Cin funge da schermo elettrostarico a tutto ciò che si trova all'interno della sua cavità.

Cosa segue

Pagina 50: Prendiamo in considerazione un ambiente formato da un involucro metallico collegato

Pagina 49
Pagina 49 (AppuntiFII)Apri immagine

Pagina 50 - Prendiamo in considerazione un ambiente formato da un involucro metallico collegato

Tema: Elettrostatica
Riassunto guidato

Qui si introducono i concetti base di carica elettrica e interazione elettrostatica: forza tra cariche (Coulomb), campo elettrico e principio di sovrapposizione, con esempi di calcolo.

Estratto dalla pagina (testo)

Prendiamo in considerazione un ambiente formato da un involucro metallico collegato a terra (che * forma quindi la cosiddetta messa a Terra). Questo O COLLEGAMENTO A avrà lo stesso potenziale della Terra, perché involucro + TERRA Terra formeranno un unico conduttore, e potrò misurare il potenziale di qualunque dispositivo elettrico io metta nell'involucro mettendolo in relazione col potenziale dell'involucro + Terra…

Cosa segue

Pagina 51: la carica cambierebbe per via dell'induzione elettrostatica (quindi non potrò più avere ge

Pagina 50
Pagina 50 (AppuntiFII)Apri immagine

Pagina 51 - la carica cambierebbe per via dell'induzione elettrostatica (quindi non potrò più avere ge

Tema: Elettrostatica
Riassunto guidato

Qui si introducono i concetti base di carica elettrica e interazione elettrostatica: forza tra cariche (Coulomb), campo elettrico e principio di sovrapposizione, con esempi di calcolo.

Estratto dalla pagina (testo)

la carica cambierebbe per via dell'induzione elettrostatica (quindi non potrò più avere ge 12 a priori). Di conseguenza, in un problema del calcolo del potenziale dovuto a più conduttori avrei come incognite sia che V. PROBLEMA GENERALE DELL'ELETTROSTALICA Dati: 1) forma e posizioni dei conduttori; 2) potenziale su ciascun conduttore (o carica totale di Ciascun conduttore).

Cosa segue

Pagina 52: Metodo delle immagini (è un metodo di risoluzione indiretto perché non stiamo risolvendo l'equazione...

Pagina 51
Pagina 51 (AppuntiFII)Apri immagine

Pagina 52 - Metodo delle immagini (è un metodo di risoluzione indiretto perché non stiamo risolvendo l'equazione...

Tema: Elettrostatica
Riassunto guidato

Qui si introducono i concetti base di carica elettrica e interazione elettrostatica: forza tra cariche (Coulomb), campo elettrico e principio di sovrapposizione, con esempi di calcolo.

Estratto dalla pagina (testo)

Metodo delle immagini (è un metodo di risoluzione indiretto perché non stiamo risolvendo l'equazione fondamentale) ESEMPIO: DIPOLO ELETTRICO Consideriamo un dipolo elettrico e il piano perpendicolare alla reta congiungente le due coriche che possi per il punto medio della loro distanza: questo piano è una superficie equipotenziale con potenziale nullo perché in qualsiasi punto del piano il contributo del potenziale…

Cosa segue

Pagina 53: Comprende completTy(+) = - [ -+ Sul conduttore (quindi z = o), essendo una superficie equipotenziale ELS e...

Pagina 52
Pagina 52 (AppuntiFII)Apri immagine

Pagina 53 - Comprende completTy(+) = - [ -+ Sul conduttore (quindi z = o), essendo una superficie equipotenziale ELS e...

Tema: Potenziale elettrico
Riassunto guidato

Qui si introduce il potenziale elettrico \(V\) e il legame \(\mathbf{E}=-\nabla V\), discutendo superfici equipotenziali, lavoro e proprietà conservative del campo.

Estratto dalla pagina (testo)

Comprende completTy(+) = - [ -+ Sul conduttore (quindi z = o), essendo una superficie equipotenziale ELS e quindi il compo elettrico avrà solo componente z: Ex(z =d) = Ey(z =d = 0 sulla superficie, r = r', con r = x +yth Ez(z =d) = - e perpendicolare a tutti i punti della superficie ma assume un VALORE DIVERSO In OGNUNO Di Essi Dol punto di vista della densità di carica, dato che la presenza di + a comporta ad un…

Cosa segue

Pagina 54: 18/10/2024 Un conduttore sterico carico e

Pagina 53
Pagina 53 (AppuntiFII)Apri immagine

Pagina 54 - 18/10/2024 Un conduttore sterico carico e

Tema: Conduttori e capacità
Riassunto guidato

Qui si studiano i conduttori in equilibrio elettrostatico (campo nullo all'interno, cariche sulla superficie), induzione, schermatura e capacità/condensatori con esempi tipici.

Estratto dalla pagina (testo)

- 18/10/2024 Un conduttore sterico carico e isolato presenta una densità superficiale di corica 6- uniforme. Dato che presenta un reggio di curvatura costante, il compo elettrico non varierà a seconda del punto della sfera rispetto a cui lo calcolo.

Cosa segue

Pagina 55: Nel caso in cui un conduttore appuntito si trovasse IONE NEGATIVO

Pagina 54
Pagina 54 (AppuntiFII)Apri immagine

Pagina 55 - Nel caso in cui un conduttore appuntito si trovasse IONE NEGATIVO

Tema: Elettrostatica
Riassunto guidato

Qui si introducono i concetti base di carica elettrica e interazione elettrostatica: forza tra cariche (Coulomb), campo elettrico e principio di sovrapposizione, con esempi di calcolo.

Estratto dalla pagina (testo)

Nel caso in cui un conduttore appuntito si trovasse IONE NEGATIVO in mezzi come l'aria (che può presentare al suo interno degli ioni), se nei dintorni della punta si trovasse uno · ione carico negativamente, questo verrebbe accelerato dal conduttore verso la sua punta nella direzione delle linee di compo con la conseguente formazione di una scarica elettrico.

Cosa segue

Pagina 56: am 912 &13 -> A coefficienti dipendono dai dettagli del sistema. Qze &22 &23 La

Pagina 55
Pagina 55 (AppuntiFII)Apri immagine

Pagina 56 - am 912 &13 -> A coefficienti dipendono dai dettagli del sistema. Qze &22 &23 La

Tema: Conduttori e capacità
Riassunto guidato

Qui si studiano i conduttori in equilibrio elettrostatico (campo nullo all'interno, cariche sulla superficie), induzione, schermatura e capacità/condensatori con esempi tipici.

Estratto dalla pagina (testo)

am 912 &13 -> A coefficienti dipendono dai dettagli del sistema. Qze &22 &23 La motrice è invertibile perché dal punto di vista fisico descrive 931 932 933 un sistema reale.

Cosa segue

Pagina 57: Esempio: capacità di un capacitore piano Prendiamo in considerazione un capacitore formato da due Fogli...

Pagina 56
Pagina 56 (AppuntiFII)Apri immagine

Pagina 57 - Esempio: capacità di un capacitore piano Prendiamo in considerazione un capacitore formato da due Fogli...

Tema: Conduttori e capacità
Riassunto guidato

Qui si studiano i conduttori in equilibrio elettrostatico (campo nullo all'interno, cariche sulla superficie), induzione, schermatura e capacità/condensatori con esempi tipici.

Estratto dalla pagina (testo)

Esempio: capacità di un capacitore piano Prendiamo in considerazione un capacitore formato da due Fogli conduttori infiniti di densità di carica superficiale S e-5 che siano paralleli e ad una distanza S molto piccola.

Cosa segue

Pagina 58: 21/10/2024 =: capacità di un singolo conduttore

Pagina 57
Pagina 57 (AppuntiFII)Apri immagine

Pagina 58 - 21/10/2024 =: capacità di un singolo conduttore

Tema: Conduttori e capacità
Riassunto guidato

Qui si studiano i conduttori in equilibrio elettrostatico (campo nullo all'interno, cariche sulla superficie), induzione, schermatura e capacità/condensatori con esempi tipici.

Estratto dalla pagina (testo)

21/10/2024 =: capacità di un singolo conduttore (esempio: sfera -Ci = Guer) -Q Per ricovare la capacità di un singolo conduttore, possiamo -V = V2 Vi = 0 pensarlo come un conduttore di un condensatore tale per wi R la superficie di carica -Q si trova a distanza infinita e ha Q potenziale uguale a Zero.

Cosa segue

Pagina 59: Forza fra le Armature di Un CONDENSATORE Prendiamo un condensatore piano avente una capacità C' e un'energia =

Pagina 58
Pagina 58 (AppuntiFII)Apri immagine

Pagina 59 - Forza fra le Armature di Un CONDENSATORE Prendiamo un condensatore piano avente una capacità C' e un'energia =

Tema: Conduttori e capacità
Riassunto guidato

Qui si studiano i conduttori in equilibrio elettrostatico (campo nullo all'interno, cariche sulla superficie), induzione, schermatura e capacità/condensatori con esempi tipici.

Estratto dalla pagina (testo)

Forza fra le Armature di Un CONDENSATORE Prendiamo un condensatore piano avente una capacità C' e un'energia = immagazzinata. Z M ta hez ↑ Alla faza necessaria ad allontanare i conduttori di una -Q distanza da corrisponde un lavoro L = Falz Si possono verificare due situazioni differenti: 1) a non cambia (i conduttori sono quindi isolati) Calcololavdizionedienergia elettrostatica dovuta all'allontanament e e…

Cosa segue

Pagina 60: Il bilanciamento energetico corretto è quindi:

Pagina 59
Pagina 59 (AppuntiFII)Apri immagine

Pagina 60 - Il bilanciamento energetico corretto è quindi:

Tema: Legge di Gauss
Riassunto guidato

Qui si collega il flusso del campo elettrico alla carica racchiusa (legge di Gauss) e si sfruttano simmetrie (piana, cilindrica, sferica) per ricavare \(\mathbf{E}\).

Estratto dalla pagina (testo)

Il bilanciamento energetico corretto è quindi: Faz + Val = Ev = Faz = EVdc-Vac = -Eva i que casi ora sono consistenti DIELETTRICI A materiali dielettrici sono materiali isolanti (non contengono quindi cariche libere in grado di nuoversi). Tuttavia, può capitare che delle cariche elettriche si nuovano attraverso un dielettrico (es. ioni nell'aria).

Cosa segue

Pagina 61: Gliß Nel caso del capacitare vuoto, ho un campo elettrico Eo: Gi +

Pagina 60
Pagina 60 (AppuntiFII)Apri immagine

Pagina 61 - Gliß Nel caso del capacitare vuoto, ho un campo elettrico Eo: Gi +

Tema: Dielettrici
Riassunto guidato

Qui si introduce la polarizzazione dei dielettrici e le grandezze macroscopiche \(\mathbf{P}\) e \(\mathbf{D}\), con relazione costitutiva e implicazioni su campo e potenziale.

Estratto dalla pagina (testo)

Gliß Nel caso del capacitare vuoto, ho un campo elettrico Eo: Gi - + + + + + + + Q dovuto alle cariche delle armature che risulta maggiore di un ~vuorovvEo = Gi Fattore En rispetto a quello che ci sarebbe col dielettrico: - Q E= - GliB C = ErCio, dove Er: costante dielettrica relativa SUPERFICIE GAUSSIANA GliB + + + + + = + + + Q Applichiano il teorema di Gauss alla superficie gaussiona GPoL Coevo quindi considerare…

Cosa segue

Pagina 62: d Il compo elettrico medio può essere ricavato facendone una P

Pagina 61
Pagina 61 (AppuntiFII)Apri immagine

Pagina 62 - d Il compo elettrico medio può essere ricavato facendone una P

Tema: Elettrostatica
Riassunto guidato

Qui si introducono i concetti base di carica elettrica e interazione elettrostatica: forza tra cariche (Coulomb), campo elettrico e principio di sovrapposizione, con esempi di calcolo.

Estratto dalla pagina (testo)

d Il compo elettrico medio può essere ricavato facendone una P media nel tempo e nello spazio. 7 I · media temporale: in un atomo la probabilità di trovare elettroni O in una certa regione dello spazio è data dalla funzione d'anda ↓(r,t). Dato un volumetto d, in esso ci sarà una densità di probabilità di UN(t)U2 di trovare elettroni.

Cosa segue

Pagina 63: Campo elettrico macroscopico:

Pagina 62
Pagina 62 (AppuntiFII)Apri immagine

Pagina 63 - Campo elettrico macroscopico:

Tema: Elettrostatica
Riassunto guidato

Qui si introducono i concetti base di carica elettrica e interazione elettrostatica: forza tra cariche (Coulomb), campo elettrico e principio di sovrapposizione, con esempi di calcolo.

Estratto dalla pagina (testo)

Campo elettrico macroscopico: E = <Ericrs = -(Vricl =- Unicr ↓ N La media implica un'integrazione, mentre il laplaciono implica S una derivazione: se nell'integrazione ho X, y, z fissati, l'operazione pa, 40,70)5 -M 7 AZ ( di media e differenziazione commutano quindi vale liguaglianza( Ay *X È = cricr e V = cVricrs sono quantità macroscopiche (E = -*V) Equazione di poisson per Quantità macroscopiche: (fl = Suß Umicr…

Cosa segue

Pagina 64: 2) Con un compo elettrico estelno Èo Fo, si vanno a formare · N E dei dipoli

Pagina 63
Pagina 63 (AppuntiFII)Apri immagine

Pagina 64 - 2) Con un compo elettrico estelno Èo Fo, si vanno a formare · N E dei dipoli

Tema: Dielettrici
Riassunto guidato

Qui si introduce la polarizzazione dei dielettrici e le grandezze macroscopiche \(\mathbf{P}\) e \(\mathbf{D}\), con relazione costitutiva e implicazioni su campo e potenziale.

Estratto dalla pagina (testo)

2) Con un compo elettrico estelno Èo Fo, si vanno a formare · N E dei dipoli elettrici con un certo momento di dipolo & IL CENTRO Inon è ancora detto che in questo caso frad DELLE CARICHE NEGATIVE risulta TRASLATO rispetto a Quello delle cariche positive (cioe il nucleo Consideriamo un dielettrico sottoposto ad un compo elettrico esterno: Se le molecole/atomi che lo compongono possiedono già un loro momento di…

Cosa segue

Pagina 65: superficiale di carico Epa Fo. Considerando f lo spostamento delle cariche sulle superfici,S', ottengo:

Pagina 64
Pagina 64 (AppuntiFII)Apri immagine

Pagina 65 - superficiale di carico Epa Fo. Considerando f lo spostamento delle cariche sulle superfici,S', ottengo:

Tema: Dielettrici
Riassunto guidato

Qui si introduce la polarizzazione dei dielettrici e le grandezze macroscopiche \(\mathbf{P}\) e \(\mathbf{D}\), con relazione costitutiva e implicazioni su campo e potenziale.

Estratto dalla pagina (testo)

superficiale di carico Epa Fo. Considerando f lo spostamento delle cariche sulle superfici,S', ottengo: · Carica che vedo nella superficie superiore nasf = Spa =naf ↓ · Carica che vedo nella superficie inferiore 6 - nasf = Spa =- naf =P ↳motopiccoSTonic) In forma vettoriale: 4 Epa = Po > vale der Qualunque orientazione spaziale Della SUPERFICIE & M · Spa = o nelle superfici laterali (PI) UNIFORME (DIELETTRICO…

Cosa segue

Pagina 66: Era = Fon, gra = -*o > Ja =ose-50 = 0 Di conseguenza,se è uniforme, quindi costante,

Pagina 65
Pagina 65 (AppuntiFII)Apri immagine

Pagina 66 - Era = Fon, gra = -*o > Ja =ose-50 = 0 Di conseguenza,se è uniforme, quindi costante,

Tema: Dielettrici
Riassunto guidato

Qui si introduce la polarizzazione dei dielettrici e le grandezze macroscopiche \(\mathbf{P}\) e \(\mathbf{D}\), con relazione costitutiva e implicazioni su campo e potenziale.

Estratto dalla pagina (testo)

Era = Fon, gra = -*o - > Ja =ose-50 = 0 Di conseguenza,se è uniforme, quindi costante, 5. P = o perciò P è solenoidale (dielettrico anogened 23/no 2024 Equazione dell'elettrostatica con i dielettrici La densità di carica macroscopica che si osserva in un dielettrico è data da due contributi: - jub(x, y, z), Gi (x, y, z), che corrispondono alle densità di carica volumica e superficiale daute alle cariche "libere"…

Cosa segue

Pagina 67: Esempio:Condensatore PIANO RIEMPITO CON Un DIELETTRICO Le amature cariche del condensatore

Pagina 66
Pagina 66 (AppuntiFII)Apri immagine

Pagina 67 - Esempio:Condensatore PIANO RIEMPITO CON Un DIELETTRICO Le amature cariche del condensatore

Tema: Dielettrici
Riassunto guidato

Qui si introduce la polarizzazione dei dielettrici e le grandezze macroscopiche \(\mathbf{P}\) e \(\mathbf{D}\), con relazione costitutiva e implicazioni su campo e potenziale.

Estratto dalla pagina (testo)

Esempio:Condensatore PIANO RIEMPITO CON Un DIELETTRICO Le amature cariche del condensatore SUPERFICIE GAUSSIANA ↓Giß + + + + + + + t forno si che nel dielettrico si scateni una polarizzazione: avrò quindi una SPO = 0 dielettrico (se è arogeneo,, ho unaEpal-UPU nelle superfici di esso mentre + + + + + + + + + polarizzazione uniforme) nel volume Spa = 0, perché è - Jus uniforme.

Cosa segue

Pagina 68: modello teorico per la stima di X (Nun Funziona per sostanze poco dense, come i gas (es. L'idrogend Prendiamo...

Pagina 67
Pagina 67 (AppuntiFII)Apri immagine

Pagina 68 - modello teorico per la stima di X (Nun Funziona per sostanze poco dense, come i gas (es. L'idrogend Prendiamo...

Tema: Potenziale elettrico
Riassunto guidato

Qui si introduce il potenziale elettrico \(V\) e il legame \(\mathbf{E}=-\nabla V\), discutendo superfici equipotenziali, lavoro e proprietà conservative del campo.

Estratto dalla pagina (testo)

modello teorico per la stima di X (Nun Funziona per sostanze poco dense, come i gas (es. L'idrogend Prendiamo in esome l'idrogeno, che in natura si presenta in fase gassosa.

Cosa segue

Pagina 69: Data l'espressione dell'energia totale in funzione del raggio, posso ricavare L'energia minima corrispondente...

Pagina 68
Pagina 68 (AppuntiFII)Apri immagine

Pagina 69 - Data l'espressione dell'energia totale in funzione del raggio, posso ricavare L'energia minima corrispondente...

Tema: Elettrostatica
Riassunto guidato

Qui si introducono i concetti base di carica elettrica e interazione elettrostatica: forza tra cariche (Coulomb), campo elettrico e principio di sovrapposizione, con esempi di calcolo.

Estratto dalla pagina (testo)

Data l'espressione dell'energia totale in funzione del raggio, posso ricavare L'energia minima corrispondente al reggio di Bohr: RICAVA La E(r)= Ed --13, 6 eV (reV: energia che una particella acquista muovendosi Il valore ECad) = - 13, 6 eV corrisponde all'energia di tra due punti che stanno a legame che si ha tra plotone ed elettrone nell'atomo una differenza di potenziale di H: di conseguenza, se volessi…

Cosa segue

Pagina 70: Quello che ho è quindi un oscillatore amanico atomico falzato con una frequenza

Pagina 69
Pagina 69 (AppuntiFII)Apri immagine

Pagina 70 - Quello che ho è quindi un oscillatore amanico atomico falzato con una frequenza

Tema: Conduttori e capacità
Riassunto guidato

Qui si studiano i conduttori in equilibrio elettrostatico (campo nullo all'interno, cariche sulla superficie), induzione, schermatura e capacità/condensatori con esempi tipici.

Estratto dalla pagina (testo)

Quello che ho è quindi un oscillatore amanico atomico falzato con una frequenza naturale di oscillazione di wo ~> FORZA ESTERNA equazione del moto: MMwx = que Siccome ci troviamo in condizioni di elettrostatica, il compo elettrico E è costante.

Cosa segue

Pagina 71: Se volessi separare un elettrone da un atomo di Hallo stato fondamentale, dovrei fornire 13, 6 eV di energia

Pagina 70
Pagina 70 (AppuntiFII)Apri immagine

Pagina 71 - Se volessi separare un elettrone da un atomo di Hallo stato fondamentale, dovrei fornire 13, 6 eV di energia

Tema: Maxwell e onde EM
Riassunto guidato

Qui si unificano i fenomeni con le equazioni di Maxwell e si studiano onde elettromagnetiche, energia/flussso (vettore di Poynting) e propagazione.

Estratto dalla pagina (testo)

Se volessi separare un elettrone da un atomo di Hallo stato fondamentale, dovrei fornire 13, 6 eV di energia: posso farlo tramite radiazioni elettromagnetiche, le quali emettano forani, che sarebbero i quanti della radiazione elettromagnetica. Se un fotore di energia En = two viene assorbito dall'atomo allo stato fondamentale, questultimo viene ionizzato.

Cosa segue

Pagina 72: Se si verificasse una situazione di questo tipo, anche D ed non sarebbero paralleli e

Pagina 71
Pagina 71 (AppuntiFII)Apri immagine

Pagina 72 - Se si verificasse una situazione di questo tipo, anche D ed non sarebbero paralleli e

Tema: Dielettrici
Riassunto guidato

Qui si introduce la polarizzazione dei dielettrici e le grandezze macroscopiche \(\mathbf{P}\) e \(\mathbf{D}\), con relazione costitutiva e implicazioni su campo e potenziale.

Estratto dalla pagina (testo)

Se si verificasse una situazione di questo tipo, anche D ed non sarebbero paralleli e la costante dielettrica del mezzo non sarebbe un semplice numero, bensi una matrice: Dx Exx Exy Exz Ex Dy = Eyx Eyy Eyz Ey Dz EzxEzy Ezz Ez - > ESEMPIO: CALCOLO DEL CAMPO ELETTRICO ATRAVERSO Un DIELETTRICO PARTENDO DA D Consideriamo un dielettrico all'interno del quale è presente una carica a puntiforme libera.

Cosa segue

Pagina 73: Eo= = u CORRENTI ELETTRICHE Prendiamo un conduttore metallico tale per cui

Pagina 72
Pagina 72 (AppuntiFII)Apri immagine

Pagina 73 - Eo= = u CORRENTI ELETTRICHE Prendiamo un conduttore metallico tale per cui

Tema: Conduttori e capacità
Riassunto guidato

Qui si studiano i conduttori in equilibrio elettrostatico (campo nullo all'interno, cariche sulla superficie), induzione, schermatura e capacità/condensatori con esempi tipici.

Estratto dalla pagina (testo)

Eo= = u CORRENTI ELETTRICHE Prendiamo un conduttore metallico tale per cui non si has condizione di equilibrio elettrostatico /ora i moti delle cariche possono avvenire in tempi lunghi). Supponiamo che tra i suoi capi ci sia una DDP: questa conserà un moto di coliche e ci sarà un compo elettrico.

Cosa segue

Pagina 74: Quanta carica attraversa a,S'in un tempo st? D,S s Il volume riempito da aq nel tempo st è V = aiS'vat

Pagina 73
Pagina 73 (AppuntiFII)Apri immagine

Pagina 74 - Quanta carica attraversa a,S'in un tempo st? D,S s Il volume riempito da aq nel tempo st è V = aiS'vat

Tema: Elettrostatica
Riassunto guidato

Qui si introducono i concetti base di carica elettrica e interazione elettrostatica: forza tra cariche (Coulomb), campo elettrico e principio di sovrapposizione, con esempi di calcolo.

Estratto dalla pagina (testo)

Quanta carica attraversa a,S'in un tempo st? D,S s Il volume riempito da aq nel tempo st è V = aiS'vat i Aq = qN (N: numero di particelle, N = naV con n: densità di particelle per unità di volume) C vat = gnav = 1- vanaSet qs I = anna,S'(//) AS Se il, messuma particella attraversa la superficie e I = 0 D. S', perciò non si ha alcuna corrente.

Cosa segue

Pagina 75: Di conseguenza, la corrente I può essere scritta come:

Pagina 74
Pagina 74 (AppuntiFII)Apri immagine

Pagina 75 - Di conseguenza, la corrente I può essere scritta come:

Tema: Elettrostatica
Riassunto guidato

Qui si introducono i concetti base di carica elettrica e interazione elettrostatica: forza tra cariche (Coulomb), campo elettrico e principio di sovrapposizione, con esempi di calcolo.

Estratto dalla pagina (testo)

Di conseguenza, la corrente I può essere scritta come: I = ma +... + Unano =son Considerando la densità di particelle ↳=g densite di corrente totale n = n+...

Cosa segue

Pagina 76: at) = SugdV, y: censitadicarica I = /s Jod--njaV legge di conservazione f è una quantità che può DELLA CARICA...

Pagina 75
Pagina 75 (AppuntiFII)Apri immagine

Pagina 76 - at) = SugdV, y: censitadicarica I = /s Jod--njaV legge di conservazione f è una quantità che può DELLA CARICA...

Tema: Legge di Gauss
Riassunto guidato

Qui si collega il flusso del campo elettrico alla carica racchiusa (legge di Gauss) e si sfruttano simmetrie (piana, cilindrica, sferica) per ricavare \(\mathbf{E}\).

Estratto dalla pagina (testo)

at) = SugdV, y: censitadicarica I = /s Jod--njaV legge di conservazione f è una quantità che può DELLA CARICA IN FORMA variare nello spazio e nel tempo INTEGRALE forma locale della legge: (s - d = SnojdV e SvojaV = -JugdV = -Sa ↓ DIVERGENZA Cla Derivazione e La TEO REMA DELLA sonoS = o equazione di Continuità Applicazione:decadimento 3 del neutrone n + p + + e= Ve An accordo con la legge, la carica si conserva cri…

Cosa segue

Pagina 77: Se rimane costante lungo l'unica direzione in cui si ha moto di particelle, vol dire che

Pagina 76
Pagina 76 (AppuntiFII)Apri immagine

Pagina 77 - Se rimane costante lungo l'unica direzione in cui si ha moto di particelle, vol dire che

Tema: Correnti e circuiti
Riassunto guidato

Qui si passa al regime stazionario di corrente: densità di corrente, legge di conservazione della carica, legge di Ohm, resistività e modelli microscopici (Drude).

Estratto dalla pagina (testo)

Se rimane costante lungo l'unica direzione in cui si ha moto di particelle, vol dire che se v aumenta andando verso l'anodo allora y deve diminuire andando verso l'anodo, e viceversa sev diminuisce andando verso il catado y deve aumentare.

Cosa segue

Pagina 78: Per alcuni materiali, pur essendoci una relazione lineare tra ed È, si ha che

Pagina 77
Pagina 77 (AppuntiFII)Apri immagine

Pagina 78 - Per alcuni materiali, pur essendoci una relazione lineare tra ed È, si ha che

Tema: Correnti e circuiti
Riassunto guidato

Qui si passa al regime stazionario di corrente: densità di corrente, legge di conservazione della carica, legge di Ohm, resistività e modelli microscopici (Drude).

Estratto dalla pagina (testo)

Per alcuni materiali, pur essendoci una relazione lineare tra ed È, si ha che ed È non sono paralleli: questo perché tra i due intercorre una relazione di tipo tensoriale e i è ottenuto quindi Hamite una trasformazione lineare. Jx Exx Exy Exz Ex In certe situazioni può verificarsi che È sia molto Jy = Jyx Jyy Jyz - intenso e perciò3 può dipendere da È e quindi non Jz 3zx6zy6zz essere costante.

Cosa segue

Pagina 79: 29/no/2024 modello classico della conduzione di drude (vale per condutari ohmici) nella costruzione del...

Pagina 78
Pagina 78 (AppuntiFII)Apri immagine

Pagina 79 - 29/no/2024 modello classico della conduzione di drude (vale per condutari ohmici) nella costruzione del...

Tema: Correnti e circuiti
Riassunto guidato

Qui si passa al regime stazionario di corrente: densità di corrente, legge di conservazione della carica, legge di Ohm, resistività e modelli microscopici (Drude).

Estratto dalla pagina (testo)

29/no/2024 modello classico della conduzione di drude (vale per condutari ohmici) nella costruzione del modello supponiamo che il conduttore sia formato da un reticolo cristallino tale per cui gli ioni sono fissi e gli elettroni si nuovono attraverso il reticolo in modo completamente disordinato.

Cosa segue

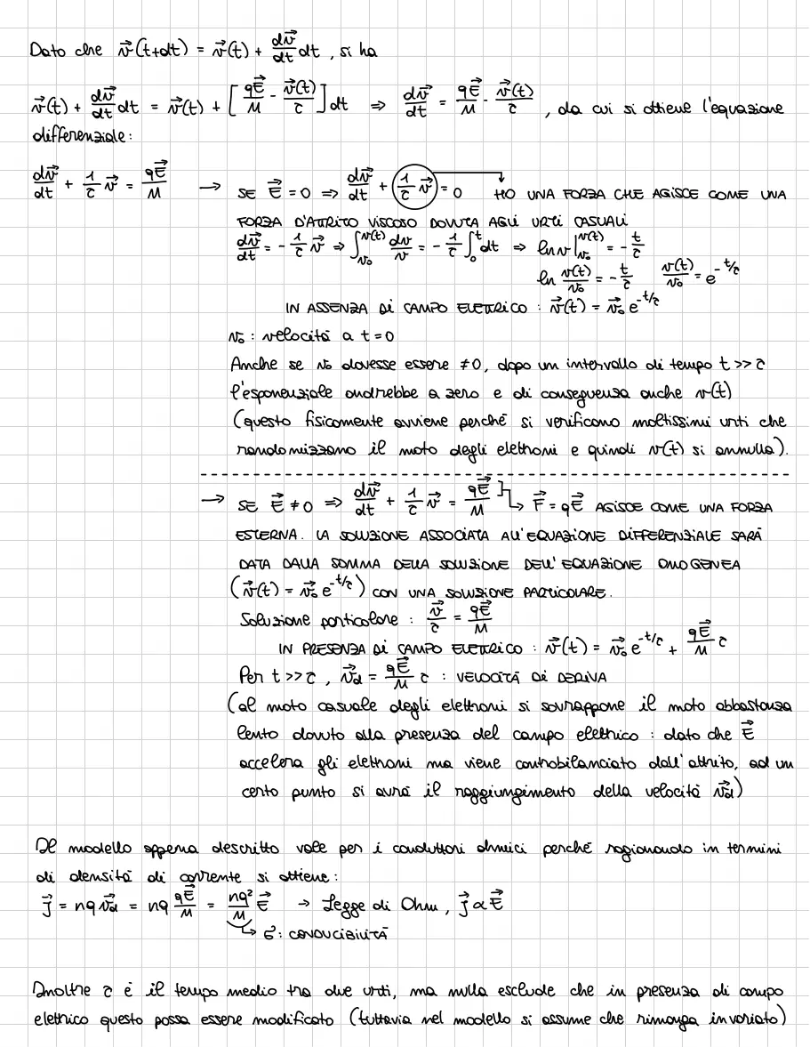
Pagina 80: Dato cheCt+dt) =(t) + tut, si ha (t)+ dt =(t) +[d =, da ci si diere l'equazione differenziale:

Pagina 79
Pagina 79 (AppuntiFII)Apri immagine

Pagina 80 - Dato cheCt+dt) =(t) + tut, si ha (t)+ dt =(t) +[d =, da ci si diere l'equazione differenziale:

Tema: Correnti e circuiti
Riassunto guidato

Qui si passa al regime stazionario di corrente: densità di corrente, legge di conservazione della carica, legge di Ohm, resistività e modelli microscopici (Drude).

Estratto dalla pagina (testo)

Dato cheCt+dt) =(t) + tut, si ha (t)+ dt =(t) +[d =, da ci si diere l'equazione differenziale: ↓ se=0 to una forza che adisce come un FORZA D'ATRITO VISCOSO DOVUTA Agli URTI CASUALI -S In v - > - > In assenza di campo elettrico: ~(t) = no ethe No: velocità a t = 0 Anche se no dovesse essere Fo, dopo un intervallo di tempo t l'esponenziale andrebbe a zero e di conseguenza anche v(t) (questo fisicamente avviene perché…

Cosa segue

Pagina 81: ESEMPIO: sodio METANICO 5nr = 2, 1. 107 (Rim)", perciò si ottiene Inn=Mos =

Pagina 80
Pagina 80 (AppuntiFII)Apri immagine

Pagina 81 - ESEMPIO: sodio METANICO 5nr = 2, 1. 107 (Rim)", perciò si ottiene Inn=Mos =

Tema: Elettrostatica
Riassunto guidato

Qui si introducono i concetti base di carica elettrica e interazione elettrostatica: forza tra cariche (Coulomb), campo elettrico e principio di sovrapposizione, con esempi di calcolo.

Estratto dalla pagina (testo)

ESEMPIO: sodio METANICO 5nr = 2, 1. 107 (Rim)", perciò si ottiene Inn=Mos = 3. 10 In assenza di campo elettrico, considero il moto termico di una particella a 300 K /temperatura ambiente):Mirvic =let Vernic= =(3. 1,381. 3001, 2. 10 ms. Da questa velocità posso ricovere il libro commino medio: Narnica Enr = 3. 10m 6 - 10me · ·... · Vernica ENR d ⑧ · ·... - - > Mettendo in relazione il libero commino medio e ·.......

Cosa segue

Pagina 82: CONDUTTORE ATTRAVERSATO Da UNA CORRENTE ELETTRICA I Supponiamo di avere un conduttore

Pagina 81
Pagina 81 (AppuntiFII)Apri immagine

Pagina 82 - CONDUTTORE ATTRAVERSATO Da UNA CORRENTE ELETTRICA I Supponiamo di avere un conduttore

Tema: Correnti e circuiti
Riassunto guidato

Qui si passa al regime stazionario di corrente: densità di corrente, legge di conservazione della carica, legge di Ohm, resistività e modelli microscopici (Drude).

Estratto dalla pagina (testo)

CONDUTTORE ATTRAVERSATO Da UNA CORRENTE ELETTRICA I Supponiamo di avere un conduttore ai cui capi è applicata una DDP pari a V. Esso sarà attraversato da una corrente= e nel rasporto delle cariche verrà compiuto un lavoro dl = Vola = VIdt. Di conseguenza. P== VI = p = VI e vale anche per conduttori non ommici Nel caso in ci si consideri un conduttore ohmico.

Cosa segue

Pagina 83: possibile con la sola presenza di El (Sel-dê = o), perciò il generatore deve essere un

Pagina 82
Pagina 82 (AppuntiFII)Apri immagine

Pagina 83 - possibile con la sola presenza di El (Sel-dê = o), perciò il generatore deve essere un

Tema: Correnti e circuiti
Riassunto guidato

Qui si passa al regime stazionario di corrente: densità di corrente, legge di conservazione della carica, legge di Ohm, resistività e modelli microscopici (Drude).

Estratto dalla pagina (testo)

possibile con la sola presenza di El (Sel-dê = o), perciò il generatore deve essere un - > dispositivo tale per cui si ha un campo elettrico che agisca in verso opposto a tel: questo è detto compo elettromotore (EA), ed è più intenso di Écl (E*,l), in modo tale che possa fornire l'energia elettrica necessaria a for riplendere alle cariche il moto nel conduttore.

Cosa segue

Pagina 84: ulm/ 2024 Semi-conduttori · Si Un esempio di semi-conduttore è il silicio, (strettamente parlando che è

Pagina 83
Pagina 83 (AppuntiFII)Apri immagine

Pagina 84 - ulm/ 2024 Semi-conduttori · Si Un esempio di semi-conduttore è il silicio, (strettamente parlando che è

Tema: Elettrostatica
Riassunto guidato

Qui si introducono i concetti base di carica elettrica e interazione elettrostatica: forza tra cariche (Coulomb), campo elettrico e principio di sovrapposizione, con esempi di calcolo.

Estratto dalla pagina (testo)

ulm/ 2024 Semi-conduttori · Si Un esempio di semi-conduttore è il silicio, (strettamente parlando che è strutturato da un reticolo cristallino. ⑧ · Si · Si dovrebbe comportarsi Si zaAmi come un isolante) CoValenti Gli elettroni possono disporsi in livelli · Si energetici discreti rappresentabili in questo modo: Energia dei Livelli eletronici A T = ok En se ci fosse un elettrone ->inqueslivellieverfici BANDADi A Un…

Cosa segue

Pagina 85: A temperatura T=300K, /ki) = 1, 6. 10 per 10 è in bonda di valenza ne ho uno in banda di

Pagina 84
Pagina 84 (AppuntiFII)Apri immagine

Pagina 85 - A temperatura T=300K, /ki) = 1, 6. 10 per 10 è in bonda di valenza ne ho uno in banda di

Tema: Elettrostatica
Riassunto guidato

Qui si introducono i concetti base di carica elettrica e interazione elettrostatica: forza tra cariche (Coulomb), campo elettrico e principio di sovrapposizione, con esempi di calcolo.

Estratto dalla pagina (testo)

A temperatura T=300K, /ki) = 1, 6. 10 per 10 è in bonda di valenza ne ho uno in banda di conduzione, quindi ho del silicio piuttosto isolante A temperatura T-500K, ese/lit = I. Il numero di elettroni aumenta di 7 ordini di grandezza, quindi il silicio assume una conducibilità molto elevata.

Cosa segue

Pagina 86: una distanza di 0. 044 eV dal primo livello della banda di conduzione. A T = ok

Pagina 85
Pagina 85 (AppuntiFII)Apri immagine

Pagina 86 - una distanza di 0. 044 eV dal primo livello della banda di conduzione. A T = ok

Tema: Conduttori e capacità
Riassunto guidato

Qui si studiano i conduttori in equilibrio elettrostatico (campo nullo all'interno, cariche sulla superficie), induzione, schermatura e capacità/condensatori con esempi tipici.

Estratto dalla pagina (testo)

una distanza di 0. 044 eV dal primo livello della banda di conduzione. A T = ok ancora non ho elettroni in banda di conduzione, ma a 1=300 K, siccome la differenza di energia tra il livello in cui giacciono gli elettroni di valenza di P e il primo livello della banda di conduzione è piccolissima, gli elettroni saltano direttamente in banda di conduzione.

Cosa segue

Pagina 87: Dispositivi come la Bussola sono costituiti da un ago magnetico che può risentire del campo elettrico...

Pagina 86
Pagina 86 (AppuntiFII)Apri immagine

Pagina 87 - Dispositivi come la Bussola sono costituiti da un ago magnetico che può risentire del campo elettrico...

Tema: Elettrostatica
Riassunto guidato

Qui si introducono i concetti base di carica elettrica e interazione elettrostatica: forza tra cariche (Coulomb), campo elettrico e principio di sovrapposizione, con esempi di calcolo.

Estratto dalla pagina (testo)

Dispositivi come la Bussola sono costituiti da un ago magnetico che può risentire del campo elettrico terrestre: I I - L'ago magnetico si allinea con un meridiano, che segue più I o meno l'andamento delle linee di campo magnetico terrestre. 1829: ESPERIENZA DI DERSTED Immaginiamo di parre una bussola molto vicino ad un filo percorso da corrente.

Cosa segue

Pagina 88: Se si ripete l'esperienza mettendo al S I · posto dell'ago una bobina,

Pagina 87
Pagina 87 (AppuntiFII)Apri immagine

Pagina 88 - Se si ripete l'esperienza mettendo al S I · posto dell'ago una bobina,

Tema: Magnetostatica
Riassunto guidato

Qui si definisce il campo magnetico e le forze su cariche/correnti (Lorentz/Laplace) e si calcolano campi prodotti da correnti (Biot-Savart/Ampère), con esempi su fili, spire, solenoidi.

Estratto dalla pagina (testo)

Se si ripete l'esperienza mettendo al S I · posto dell'ago una bobina, si osserva I I ↑I un fenomeno platicamente analogo, per cui il campo magnetico è diretto perpendicolarmente alla direzione di scorrimento di I.

Cosa segue

Pagina 89: 5/11/2024 Consideriamo un sistema di riferimento

Pagina 88
Pagina 88 (AppuntiFII)Apri immagine

Pagina 89 - 5/11/2024 Consideriamo un sistema di riferimento

Tema: Elettrostatica
Riassunto guidato

Qui si introducono i concetti base di carica elettrica e interazione elettrostatica: forza tra cariche (Coulomb), campo elettrico e principio di sovrapposizione, con esempi di calcolo.

Estratto dalla pagina (testo)

5/11/2024 Consideriamo un sistema di riferimento inerziale filmo e un altro semple inenziale in moto a velocitài costante rispetto al primo. Generalmente, un osservatore solidale col primo sistema di riferimento misurerà una forza di Lorentz agente su una colica a diversa rispetto ad un osservatore solidale col secondo: questo perché È,5 e i sono tutte grandezze che dipendono dal sistema di riferimento scelto.

Cosa segue

Pagina 90: Il selettore di velocità è uno strumento che J.J. Thomson utilizzò per misurare il

Pagina 89
Pagina 89 (AppuntiFII)Apri immagine

Pagina 90 - Il selettore di velocità è uno strumento che J.J. Thomson utilizzò per misurare il

Tema: Elettrostatica
Riassunto guidato

Qui si introducono i concetti base di carica elettrica e interazione elettrostatica: forza tra cariche (Coulomb), campo elettrico e principio di sovrapposizione, con esempi di calcolo.

Estratto dalla pagina (testo)

Il selettore di velocità è uno strumento che J.J. Thomson utilizzò per misurare il rapporto tra la carica e la massa dell'elettrone i Ya FILAMENTO Consideriamo un sistema formato da un filamento RISCALDATO SCHERMO E che viene riscaldato sufficientemente in modo tale e- 2 34 che possa emettere elettroni.

Cosa segue

Pagina 91: La velocità angolare della particella sarà w=B non dipende da v A partire da l posso definire la frequenza

Pagina 90
Pagina 90 (AppuntiFII)Apri immagine

Pagina 91 - La velocità angolare della particella sarà w=B non dipende da v A partire da l posso definire la frequenza

Tema: Elettrostatica
Riassunto guidato

Qui si introducono i concetti base di carica elettrica e interazione elettrostatica: forza tra cariche (Coulomb), campo elettrico e principio di sovrapposizione, con esempi di calcolo.

Estratto dalla pagina (testo)

La velocità angolare della particella sarà w=B non dipende da v A partire da l posso definire la frequenza di ciclotrone Vi= non dipende da v Queste formule sono corrette nell'approssimazione non relativistica che v: se così non fosse, dovrei infatti aggiungere alle formule un fattore 1-1, perciò sia che va sarebbero dipendenti da v (per v, quel fattore vole 1 e posso non considerarlo).

Cosa segue

Pagina 92: 3) effetto tal consideriamo una sbarretta di materiale conduttore za I= N che viene attraversata

Pagina 91
Pagina 91 (AppuntiFII)Apri immagine

Pagina 92 - 3) effetto tal consideriamo una sbarretta di materiale conduttore za I= N che viene attraversata

Tema: Conduttori e capacità
Riassunto guidato

Qui si studiano i conduttori in equilibrio elettrostatico (campo nullo all'interno, cariche sulla superficie), induzione, schermatura e capacità/condensatori con esempi tipici.

Estratto dalla pagina (testo)

3) effetto tal consideriamo una sbarretta di materiale conduttore za I= N che viene attraversata da un compo elettrico. Supponendo CONDUTTORE che ci sia una situazione di equilibrio, gli elettroni si nuoveranno con velocità pari alla velocità di deriva.

Cosa segue

Pagina 93: FORZA MAGNETICA AGENTE SU UN FILO PERCORSO DA CORRENTE ELETTRICA Consideriamo

Pagina 92
Pagina 92 (AppuntiFII)Apri immagine

Pagina 93 - FORZA MAGNETICA AGENTE SU UN FILO PERCORSO DA CORRENTE ELETTRICA Consideriamo

Tema: Dielettrici
Riassunto guidato

Qui si introduce la polarizzazione dei dielettrici e le grandezze macroscopiche \(\mathbf{P}\) e \(\mathbf{D}\), con relazione costitutiva e implicazioni su campo e potenziale.

Estratto dalla pagina (testo)

FORZA MAGNETICA AGENTE SU UN FILO PERCORSO DA CORRENTE ELETTRICA Consideriamo un filo di sezione trasversale ds attraversato da una corrente I che nel caso più generale sarà dovuta allo spostamento di trasportatori di carica sia positivi che negativi. Supponiamo che sul filo agisca un compo magnetico entrante rispetto al piano del figlio.

Cosa segue

Pagina 94: > prova A calcolarlo rispetto ad un altro punto za L Siccome la somma delle forze

Pagina 93
Pagina 93 (AppuntiFII)Apri immagine

Pagina 94 - > prova A calcolarlo rispetto ad un altro punto za L Siccome la somma delle forze

Tema: Potenziale elettrico
Riassunto guidato

Qui si introduce il potenziale elettrico \(V\) e il legame \(\mathbf{E}=-\nabla V\), discutendo superfici equipotenziali, lavoro e proprietà conservative del campo.

Estratto dalla pagina (testo)

- > prova A calcolarlo rispetto ad un altro punto za L Siccome la somma delle forze agenti sulla spira è " ↑ nulla, il momento torcente può essere calcolato a partire B da un punto qualsiasi perché otterri sempre lo stesso I - > aIt risultato. Scegliamo come punto uno che giace sul lato â a I > X b in basso: Facendo questa scelta, il momento della L i forza Fz è nullo.

Cosa segue

Pagina 95: I corrisponde al lavoro meccanico svolto per portare la spira da -a (B = d) alla sua posizione (BFO) Unec:

Pagina 94
Pagina 94 (AppuntiFII)Apri immagine

Pagina 95 - I corrisponde al lavoro meccanico svolto per portare la spira da -a (B = d) alla sua posizione (BFO) Unec:

Tema: Magnetostatica
Riassunto guidato

Qui si definisce il campo magnetico e le forze su cariche/correnti (Lorentz/Laplace) e si calcolano campi prodotti da correnti (Biot-Savart/Ampère), con esempi su fili, spire, solenoidi.

Estratto dalla pagina (testo)

I corrisponde al lavoro meccanico svolto per portare la spira da -a (B = d) alla sua posizione (BFO) Unec: per verificarlo, calcoliamo il lavoro meccanico compiuto nel trasporto della spira da - o alla posizione finale (lungox). N a ① I / =. b > In questo caso, sul lato a della spira F1dè = L = 0 i ~ GI R #2 lavoro per trasportare Il lato &Da -d A Va Contro L forze: La = - S.

Cosa segue

Pagina 96: Nel caso generale in cui l'elementino di circuito non si trovi nell'origine del sistema di

Pagina 95
Pagina 95 (AppuntiFII)Apri immagine

Pagina 96 - Nel caso generale in cui l'elementino di circuito non si trovi nell'origine del sistema di

Tema: Elettrostatica
Riassunto guidato

Qui si introducono i concetti base di carica elettrica e interazione elettrostatica: forza tra cariche (Coulomb), campo elettrico e principio di sovrapposizione, con esempi di calcolo.

Estratto dalla pagina (testo)

Nel caso generale in cui l'elementino di circuito non si trovi nell'origine del sistema di riferimento e non abbia sezione trasversale trascurabile: = I(r) = j (r)dS (r)d3 - B(i) =1)x Ur-43 di voMee B(r) =/CiX3 IntegraleDi VOLUME NELLO SPAZIO In cui +0 CAMPO MAGNETICO DI UNA SINGOLA CARICA IN MOVIMENTO P Ideadetto un singl e in n 5 M (corretta per costant I =- - 4 9 FORMULA APPROSSIMATA B - - - UNEE Di == = nox…

Cosa segue

Pagina 97: linee di campo circolari La formula vettoriale del compo magnetico [ A "nr = P di un filo

Pagina 96
Pagina 96 (AppuntiFII)Apri immagine

Pagina 97 - linee di campo circolari La formula vettoriale del compo magnetico [ A "nr = P di un filo

Tema: Magnetostatica
Riassunto guidato

Qui si definisce il campo magnetico e le forze su cariche/correnti (Lorentz/Laplace) e si calcolano campi prodotti da correnti (Biot-Savart/Ampère), con esempi su fili, spire, solenoidi.

Estratto dalla pagina (testo)

linee di campo circolari La formula vettoriale del compo magnetico [ A "nr = P di un filo retilineo infinito percorso da ↓-- corrente è quindi CAMPO MAGNETICO Di UN FILO CIRCOLARE consideriamo una spira circolare il cui asse di simmetria coincida con l'asse z del sistema di riferimento scelto e che giaccia sul piano [x, y].

Cosa segue

Pagina 98: CAMPO MAGNETICO Di Un SOLENDIDE Un solenoide è una bobina di forma cilindrica che si

Pagina 97
Pagina 97 (AppuntiFII)Apri immagine

Pagina 98 - CAMPO MAGNETICO Di Un SOLENDIDE Un solenoide è una bobina di forma cilindrica che si

Tema: Magnetostatica
Riassunto guidato

Qui si definisce il campo magnetico e le forze su cariche/correnti (Lorentz/Laplace) e si calcolano campi prodotti da correnti (Biot-Savart/Ampère), con esempi su fili, spire, solenoidi.

Estratto dalla pagina (testo)

CAMPO MAGNETICO Di Un SOLENDIDE Un solenoide è una bobina di forma cilindrica che si può immaginare come un insieme di spire circolari impilate una sopra l'altra. B - > Vista di taglio e dizzontalmente, appare cosi:... 000000 Corrente I uscente dal piano del Foglio... Dopo...

Cosa segue

Pagina 99: Esempio: consideriamo due circuiti y, esa che si estendono per un tratto

Pagina 98
Pagina 98 (AppuntiFII)Apri immagine

Pagina 99 - Esempio: consideriamo due circuiti y, esa che si estendono per un tratto

Tema: Legge di Gauss
Riassunto guidato

Qui si collega il flusso del campo elettrico alla carica racchiusa (legge di Gauss) e si sfruttano simmetrie (piana, cilindrica, sferica) per ricavare \(\mathbf{E}\).

Estratto dalla pagina (testo)

Esempio: consideriamo due circuiti y, esa che si estendono per un tratto rettilineo. Il compo magnetico E generato da U, in questo caso è lo stesso 2 ↑ su tutti i punti di 22:=I 4 In La Forza Fr agente sul circuito ja dovuta a B è quindi: E = [z dex = In (Sude) B =I ↑ = In=12Divorzione niez it se (20) - R(nonal Possoricovequindila forza per unità di lughez! a seconda del verso di In, Iz - > Indicando con E la forza…

Cosa segue

Pagina 100: -(I() drillo VERIFICHIAMO CHEofI(r)drix 0:

Pagina 99
Pagina 99 (AppuntiFII)Apri immagine

Pagina 100 - -(I() drillo VERIFICHIAMO CHEofI(r)drix 0:

Tema: Legge di Gauss
Riassunto guidato

Qui si collega il flusso del campo elettrico alla carica racchiusa (legge di Gauss) e si sfruttano simmetrie (piana, cilindrica, sferica) per ricavare \(\mathbf{E}\).

Estratto dalla pagina (testo)

-(I() drillo VERIFICHIAMO CHEofI(r)drix 0: La divergenza agisce esclusivamente sulle componenti di. Non Quelle di (se Pha coordinate P(x. y.z), = xi + y + zE): di conseguenza, posso isolare i termini che non dipendono da: = (I()dri(). [drixt PARENTESI MATEMATICA Consideriamo due vettoria, 5.

Cosa segue

Pagina 101: Il prodotto vettorialex si può esprimere come = Erijaibjên Esempio:

Pagina 100
Pagina 100 (AppuntiFII)Apri immagine

Pagina 101 - Il prodotto vettorialex si può esprimere come = Erijaibjên Esempio:

Tema: Magnetostatica
Riassunto guidato

Qui si definisce il campo magnetico e le forze su cariche/correnti (Lorentz/Laplace) e si calcolano campi prodotti da correnti (Biot-Savart/Ampère), con esempi su fili, spire, solenoidi.

Estratto dalla pagina (testo)

Il prodotto vettorialex si può esprimere come = Erijaibjên Esempio: per l = 1, ho ên = en = (x) = (x) = (x)MPONENTE (x) x = Erizaiby con i F] perché se no = Erzarb + Erzzazbz = risulta tutto = o = azba-asbraybz-azby (x)x = aybz - azby =.

Cosa segue

Pagina 102: B = 0 Se il solenoide è infinitamente lungo, all'esterno di esso > = 0 e le

Pagina 101
Pagina 101 (AppuntiFII)Apri immagine

Pagina 102 - B = 0 Se il solenoide è infinitamente lungo, all'esterno di esso > = 0 e le

Tema: Magnetostatica
Riassunto guidato

Qui si definisce il campo magnetico e le forze su cariche/correnti (Lorentz/Laplace) e si calcolano campi prodotti da correnti (Biot-Savart/Ampère), con esempi su fili, spire, solenoidi.

Estratto dalla pagina (testo)

B = 0 Se il solenoide è infinitamente lungo, all'esterno di esso > = 0 e le linee di campo si chiudono all'infinito. 7 B = 0 Se invece il solenoide è di lunghezza finita, le linee di campo magnetico sono sempre tutte chiuse su se stesse perché se così non fosse esisterebbero delle cariche magnetiche su cui esse dovrebberoandare a finire: Di La Terra ha Un compo magnetico che si comporta di similmente a D quello di…

Cosa segue

Pagina 103: 12/11/2024 Consideriamo un percorso abitrario y

Pagina 102
Pagina 102 (AppuntiFII)Apri immagine

Pagina 103 - 12/11/2024 Consideriamo un percorso abitrario y

Tema: Elettrostatica
Riassunto guidato

Qui si introducono i concetti base di carica elettrica e interazione elettrostatica: forza tra cariche (Coulomb), campo elettrico e principio di sovrapposizione, con esempi di calcolo.

Estratto dalla pagina (testo)

12/11/2024 Consideriamo un percorso abitrario y che Non sia concatenato con la corrente che altraversa un filo. I · In questo caso, per ogni elementino de di circuito y J che descrive un certo angdo de rispetto alla circonferenza (?) individuata dalle linee di compo magnetico, me trovo un altro che descrive un angolo uguale e opposto: Biode = -d, -de =ad da dis Di conseguenza, T = G Bode = o GENERALIZZAZIONE A Un…

Cosa segue

Pagina 104: ↓come contano. Applicando il teorema di stores alla circuitazione del campo magnetico,

Pagina 103
Pagina 103 (AppuntiFII)Apri immagine

Pagina 104 - ↓come contano. Applicando il teorema di stores alla circuitazione del campo magnetico,

Tema: Magnetostatica
Riassunto guidato

Qui si definisce il campo magnetico e le forze su cariche/correnti (Lorentz/Laplace) e si calcolano campi prodotti da correnti (Biot-Savart/Ampère), con esempi su fili, spire, solenoidi.

Estratto dalla pagina (testo)

↓come contano. Applicando il teorema di stores alla circuitazione del campo magnetico, si ha: & Bod = (, ExondS = Mol, Jonas (integrali calcolati tutti sulla stessa superficiel Da cui posso ricavare la legge di ampere in forma differenziale o locale:x = no *x =Mo è un'equazione di Maxwell nel caso di correnti stazionarie ed è consistente con l'equazione di continuità perché Foj = 0 e Fox5 = 0 Mel caso più generale,…

Cosa segue

Pagina 105: RELATIVITÀ SPECIALE esstenza de campi magnetici effetto relativi st co Pincipio di relatii tutte

Pagina 104
Pagina 104 (AppuntiFII)Apri immagine

Pagina 105 - RELATIVITÀ SPECIALE esstenza de campi magnetici effetto relativi st co Pincipio di relatii tutte

Tema: Relatività speciale
Riassunto guidato

Qui si richiamano i postulati della relatività speciale e si derivano le trasformazioni di Lorentz con conseguenze (dilatazione dei tempi, contrazione delle lunghezze) e trasformazione dei campi.

Estratto dalla pagina (testo)

RELATIVITÀ SPECIALE esstenza de campi magnetici effetto relativi st co Pincipio di relatii tutte le leggi della natura sono identche in tutt ifliment inesial es.

Cosa segue

Pagina 106: Intervallo ha due eventi LAB:

Pagina 105
Pagina 105 (AppuntiFII)Apri immagine

Pagina 106 - Intervallo ha due eventi LAB:

Tema: Relatività speciale
Riassunto guidato

Qui si richiamano i postulati della relatività speciale e si derivano le trasformazioni di Lorentz con conseguenze (dilatazione dei tempi, contrazione delle lunghezze) e trasformazione dei campi.

Estratto dalla pagina (testo)

Intervallo ha due eventi LAB: Siz = ch (tz-tu)2 - (x2 - x1)2 - (32 - 31)2 - (z2 - z)2 = C2At - xx2 - Ay2- 122 RAZZO: Si = c2(ti-ti)2 - (x2 - xi)2 - (32 - 32)2 - (z2 - zi) 2 = C2At- 1x - Ay2 1z traettoia raggio luminoso: chat = 1x192 + 122 + Siz = o intervallo tipo luce V = C (2 sti = Axi- Ay= 1zk + S = o trettoria particella vcc: Ax1 + 122 = visti sir = cat-vat > o intervallo tipo spazio due event che si vificano:…

Cosa segue

Pagina 107: Implicazion delle trasformazion di Sorentz Controsione delle lunghezze z1 LAB z'1 RAZZO Razzo:

Pagina 106
Pagina 106 (AppuntiFII)Apri immagine

Pagina 107 - Implicazion delle trasformazion di Sorentz Controsione delle lunghezze z1 LAB z'1 RAZZO Razzo:

Tema: Relatività speciale
Riassunto guidato

Qui si richiamano i postulati della relatività speciale e si derivano le trasformazioni di Lorentz con conseguenze (dilatazione dei tempi, contrazione delle lunghezze) e trasformazione dei campi.

Estratto dalla pagina (testo)

Implicazion delle trasformazion di Sorentz Controsione delle lunghezze z1 LAB z'1 RAZZO Razzo: missa x e x allo stesso tempo t I S x = u(xi + vt) ASTA x = 0(x + vt) o > X X I ↓ Lo = x2 - X x - x, = G(xz' - x() L L il razzo misma una Y y 20 = 2) = E o lunghezza più piccola Dilatosione de Tempi LAZZO LAB due event che accodano nel razzo 15 = ti - t! te = f(ti + 22x) nello stesso punto x I in tempo dveis ti, te tz…

Cosa segue

Pagina 108: Energia, quantità di moto,, forza particella n, v si dimostra che

Pagina 107
Pagina 107 (AppuntiFII)Apri immagine

Pagina 108 - Energia, quantità di moto,, forza particella n, v si dimostra che

Tema: Dielettrici
Riassunto guidato

Qui si introduce la polarizzazione dei dielettrici e le grandezze macroscopiche \(\mathbf{P}\) e \(\mathbf{D}\), con relazione costitutiva e implicazioni su campo e potenziale.

Estratto dalla pagina (testo)

Energia, quantità di moto,, forza particella n, v si dimostra che: sev( energia: E = MUC E = 14v + 12 pezzo mancante 9. d. m: p = Ma nella fica Newtoliana Considero il quadivettore: (, P, Py, Pz) 2; trasformar (ct, x, y, z) - > altro a-vettore 4- MOMENTO ugualmente P = (pk +c) x = U(x) + vt') ↳B E = u(+ [Pk) t = u(t' + Ex) forza:==M P = u(pk + E-E) t = u(t' + Ex) dPx = ((dPk +dE) dt = r(dt'+ [dx) RAzzo: dl' = Fidji…

Cosa segue

Pagina 109: Misca di È in diversi riferimenti RAZZO LAB LAB RAZZO invariante a

Pagina 108
Pagina 108 (AppuntiFII)Apri immagine

Pagina 109 - Misca di È in diversi riferimenti RAZZO LAB LAB RAZZO invariante a

Tema: Conduttori e capacità
Riassunto guidato

Qui si studiano i conduttori in equilibrio elettrostatico (campo nullo all'interno, cariche sulla superficie), induzione, schermatura e capacità/condensatori con esempi tipici.

Estratto dalla pagina (testo)

Misca di È in diversi riferimenti RAZZO LAB LAB RAZZO invariante a 1 z 7 " condensatore: z1 superficie stazionario I'm 0 = 6. 6 Taglia un - v I = I quadrato di lato 6 6 ↓ 6 = 61 - V 22 Q > 0 = - 6 X ↓ i -X > X 62 d = 0 per ilnazzo: strat di conco in moto con velocità v Ez62= - Ez = 266'=E p lo sto ragamento se oriento È lungo y LAB z1 RAZZO f z'm o'= Ei = E, Leggi general · X ·I Ex = Ex El = UEL (nodipendonodalleane…

Cosa segue

Pagina 110: Legame tra campo elettico e campo magnetico (cuare dell'elettromagnetismo y1 · =M F, x formule >

Pagina 109
Pagina 109 (AppuntiFII)Apri immagine

Pagina 110 - Legame tra campo elettico e campo magnetico (cuare dell'elettromagnetismo y1 · =M F, x formule >

Tema: Maxwell e onde EM
Riassunto guidato

Qui si unificano i fenomeni con le equazioni di Maxwell e si studiano onde elettromagnetiche, energia/flussso (vettore di Poynting) e propagazione.

Estratto dalla pagina (testo)

Legame tra campo elettico e campo magnetico (cuare dell'elettromagnetismo y1 · =M F, x formule - > ~ B = -.=M Centrante l fole e 9 empiche · F= qx = qvx(-) = MIq se q0 attate Postulat fondamental dell'elettromagnetismo:. volidità della relatività speciale · Legge di Coulamb · Invarianza della carica RICAVIAMO LA FORMULA Dal POSTULATI M.I In LAB V - = -Vo x = = x + I - = ( x)( - vo) = xvo)I = I+ + I - = 2xv F.

Cosa segue

Pagina 111: Seggi general di trasformazione di campi compo elettico campo magnetico LAB

Pagina 110
Pagina 110 (AppuntiFII)Apri immagine

Pagina 111 - Seggi general di trasformazione di campi compo elettico campo magnetico LAB

Tema: Magnetostatica
Riassunto guidato

Qui si definisce il campo magnetico e le forze su cariche/correnti (Lorentz/Laplace) e si calcolano campi prodotti da correnti (Biot-Savart/Ampère), con esempi su fili, spire, solenoidi.

Estratto dalla pagina (testo)

Seggi general di trasformazione di campi compo elettico campo magnetico LAB RAZZO I direzione O ↑ Z O I I Ex = Ex C o moto, Bx' = Bx ·· - Vo (y = y(ty - vBz) relat Wo By = u(By + [ztz) - > ↓ - > y Ez = u(tz + vBy) B2 = y(Bz - ((y) x Se nel lob B = 0 Ex = Ex Bx = 0 nel 10zz0 Ey = JEy By = UrEz, nel razzo è presente anche un compo magnetico Ez = JEz Bz = - UEy El = Eg + Ez Ei = u(Ei + ~ x B) Bi = By j + Bz B1 = (B -…

Cosa segue

Pagina 112: Rielaborazione 1

Pagina 111
Pagina 111 (AppuntiFII)Apri immagine

Pagina 112 - Rielaborazione 1 (pagina divisoria)

Tema: Sezione
Riassunto guidato

Pagina di separazione tra blocchi di appunti (copertina di sezione). La pagina successiva include l'inserimento della lezione mancante sul potenziale vettore.

Cosa segue

Pagina 113:

Pagina 112
Pagina 112 (AppuntiFII)Apri immagine

Pagina 113 - Potenziale vettore - lezione mancante (inserita)

Tema: Potenziale vettore & avvio relatività speciale
Riassunto guidato

In questa sezione si introduce il potenziale vettore \(\mathbf{A}\) come strumento per descrivere il campo magnetico in magnetostatica, discutendo gauge e analogie con l'elettrostatica. Si applica poi a esempi (solenoide, filo infinito, spira/dipolo magnetico) e si accenna all'effetto di Aharonov-Bohm e ai fondamenti della relatività speciale.

Punti chiave (pagina sostitutiva)

  • Confronto tra equazioni di magnetostatica ed elettrostatica: \(\nabla\cdot\mathbf{B}=0\), \(\nabla\times\mathbf{B}=\mu_0\mathbf{j}\) vs \(\nabla\cdot\mathbf{E}=\rho/\varepsilon_0\), \(\nabla\times\mathbf{E}=0\). Si nota che \(\mathbf{E}\) è conservativo (ammette potenziale scalare), mentre \(\mathbf{B}\) in generale no: l'integrale di linea dipende dal percorso.
  • Introduzione del potenziale vettore \(\mathbf{A}\) definito da \(\mathbf{B}=\nabla\times\mathbf{A}\). Da qui \(\nabla\cdot\mathbf{B}=0\) è automaticamente soddisfatta. \(\mathbf{A}\) non è unico: trasformazione di gauge \(\mathbf{A}'=\mathbf{A}+\nabla\phi\). Scelta possibile: gauge di Coulomb \(\nabla\cdot\mathbf{A}'=0\).
  • Esempio (13/11): solenoide infinito con \(\mathbf{B}=B\hat{\mathbf{k}}\). Si costruiscono diverse \(\mathbf{A}\) equivalenti (stesso rotore) e si osserva che \(\mathbf{A}\) è tangente a circonferenze concentriche. Con Stokes: \(\oint_\gamma \mathbf{A}\cdot d\boldsymbol\ell = \iint_S \mathbf{B}\cdot\hat{\mathbf{n}}\,dS = \Phi_B\). Per un cerchio di raggio \(r\): \(2\pi r A = \pi r^2 B\Rightarrow A=\tfrac12 Br\).
  • Dalla legge di Ampère: \(\nabla\times\mathbf{B}=\mu_0\mathbf{j}\Rightarrow \nabla\times(\nabla\times\mathbf{A})=\mu_0\mathbf{j}\). Con l'identità \(\nabla\times(\nabla\times\mathbf{A})=\nabla(\nabla\cdot\mathbf{A})-\nabla^2\mathbf{A}\) e in gauge di Coulomb si ottiene l'equazione di Poisson vettoriale: \(\nabla^2\mathbf{A}=-\mu_0\mathbf{j}\).
  • Soluzione per componenti (analogia con \(\nabla^2V=-\rho/\varepsilon_0\)): \(A_i(\mathbf{r})=\frac{\mu_0}{4\pi}\int \frac{j_i(\mathbf{r}')}{\lVert\mathbf{r}-\mathbf{r}'\rVert}\,d^3r'\). Si può 'tradurre' un problema magnetostatico in uno elettrostatico sostituendo \(\rho/\varepsilon_0 \leftrightarrow \mu_0 j_i\) (equivalentemente \(\rho\leftrightarrow j_i/c^2\)).
  • Esempio: filo rettilineo infinito (corrente lungo \(z\)): \(\mathbf{A}\parallel\hat{\mathbf{k}}\) e si ricava \(\mathbf{B}\) come rotore di \(\mathbf{A}\), ottenendo il comportamento atteso \(|\mathbf{B}|=\mu_0 I/(2\pi r)\). Esempio (14/11): potenziale vettore di una spira lontana \(R\gg a,b\) e approssimazione di dipolo magnetico con momento \(\boldsymbol\mu=Iab\,\hat{\mathbf{n}}\). Forma compatta: \(\mathbf{A}(\mathbf{r})=\frac{\mu_0}{4\pi}\frac{\boldsymbol{\mu}\times \mathbf{r}}{r^3}\) e quindi \(\mathbf{B}=\nabla\times\mathbf{A}=\frac{\mu_0}{4\pi}\left(\frac{3(\boldsymbol{\mu}\cdot\mathbf{r})\mathbf{r}}{r^5}-\frac{\boldsymbol{\mu}}{r^3}\right)\), in stretta analogia al campo di un dipolo elettrico.
  • Nota fisica: \(\mathbf{A}\) ha realtà fisica (compare in \(\mathbf{F}=q\mathbf{E}+q\mathbf{v}\times\mathbf{B}\) e in meccanica quantistica). Accenno all'effetto Aharonov-Bohm: anche dove \(\mathbf{B}=0\) (esterno a un solenoide ideale) \(\mathbf{A}\neq 0\) può produrre una fase e interferenza. Avvio relatività speciale: leggi identiche in sistemi inerziali, \(c\) invariabile, e l'origine relativistica dei campi magnetici.

Cosa segue

Pagina 114: 3/12/2024 RIEPILOGO: INTERAZIONE FRA UNA CARICA

Questa sezione sostituisce la pagina 113 mancante con 7 fogli di lezione sul potenziale vettore.
Potenziale vettore - foglio 1
Pagina 113.1 (Potenziale vettore)Apri immagine
Potenziale vettore - foglio 2
Pagina 113.2 (Potenziale vettore)Apri immagine
Potenziale vettore - foglio 3
Pagina 113.3 (Potenziale vettore)Apri immagine
Potenziale vettore - foglio 4
Pagina 113.4 (Potenziale vettore)Apri immagine
Potenziale vettore - foglio 5
Pagina 113.5 (Potenziale vettore)Apri immagine
Potenziale vettore - foglio 6
Pagina 113.6 (Potenziale vettore)Apri immagine
Potenziale vettore - foglio 7
Pagina 113.7 (Potenziale vettore)Apri immagine

Pagina 114 - 3/12/2024 RIEPILOGO: INTERAZIONE FRA UNA CARICA

Tema: Magnetostatica
Riassunto guidato

Qui si definisce il campo magnetico e le forze su cariche/correnti (Lorentz/Laplace) e si calcolano campi prodotti da correnti (Biot-Savart/Ampère), con esempi su fili, spire, solenoidi.

Estratto dalla pagina (testo)

3/12/2024 RIEPILOGO: INTERAZIONE FRA UNA CARICA IN MOVIMENTO CON ALTRE CARICHE IN MOVIMENTO Consideriamo un filo percorso da una corrente I che giace sull'asse del sistema di riferimento scelto. ya Lacorrente cheattraversail fonte Siccome= = -r, si ha =-, I > X Il campo magnetico risulta quindi entrante nel i piano del foglio.

Cosa segue

Pagina 115: Le nuove velocità Ne v possono essere ricavate usando le leggi di composizione delle velocità:

Pagina 114
Pagina 114 (AppuntiFII)Apri immagine

Pagina 115 - Le nuove velocità Ne v possono essere ricavate usando le leggi di composizione delle velocità:

Tema: Elettrostatica
Riassunto guidato

Qui si introducono i concetti base di carica elettrica e interazione elettrostatica: forza tra cariche (Coulomb), campo elettrico e principio di sovrapposizione, con esempi di calcolo.

Estratto dalla pagina (testo)

Le nuove velocità Ne v possono essere ricavate usando le leggi di composizione delle velocità: - No - v No - ~ = N = = (le velocità degli strati non sono più vavali e opposte) Le nuove densità di carica linearide d'-le trovo invece usando le leggi di contrazione delle lunghezze.

Cosa segue

Pagina 116: Ex = Ex B'x = Bx S Fortez E'y = j(Ey-vBz) By = y(By +Ez)

Pagina 115
Pagina 115 (AppuntiFII)Apri immagine

Pagina 116 - Ex = Ex B'x = Bx S Fortez E'y = j(Ey-vBz) By = y(By +Ez)

Tema: Magnetostatica
Riassunto guidato

Qui si definisce il campo magnetico e le forze su cariche/correnti (Lorentz/Laplace) e si calcolano campi prodotti da correnti (Biot-Savart/Ampère), con esempi su fili, spire, solenoidi.

Estratto dalla pagina (testo)

Ex = Ex B'x = Bx S Fortez E'y = j(Ey-vBz) By = y(By +Ez) = By +Bz = y(]-Ei Ez = (eztnby) Bz = j(bz-ey) Se nel laboratorio B = 0: Ex = Ex Bx = 0 Nel sistema di riferimento del Ey = JEy By: Sez razzo posso comunque osservare e Ez = Ez Bz = JEy un campo magnetico INDUZIONE ELETTROMAGNETICA Se tra i poli del magnete pango una spira percorsa da Irre corrente, per effetto del campo magnetico essa avrà un momento torcente…

Cosa segue

Pagina 117: coriche presenti in tutto il circuito. Se invece tenessi il filo famo e spostassi

Pagina 116
Pagina 116 (AppuntiFII)Apri immagine

Pagina 117 - coriche presenti in tutto il circuito. Se invece tenessi il filo famo e spostassi

Tema: Magnetostatica
Riassunto guidato

Qui si definisce il campo magnetico e le forze su cariche/correnti (Lorentz/Laplace) e si calcolano campi prodotti da correnti (Biot-Savart/Ampère), con esempi su fili, spire, solenoidi.

Estratto dalla pagina (testo)

coriche presenti in tutto il circuito. Se invece tenessi il filo famo e spostassi solo il magnete, avrei un compo magnetico variabile nel tempo e quindi osserverei comunque una corrente elettrica (detta indotta) posso Quindi Ottenere una forza elettromotrice indotta in tre modi: Spostando Il Filo, SPOSTANDO IL MAGNETE OPPURE FACENDO VARIARE La CORRENTE ELETTRICA 4/12/2024 1) Consideriomo un sistema di riferimento in…

Cosa segue

Pagina 118: e un acquisto del flusso attraverso la superficie (2) di Bandtw. Di conseguenza, posso scrivere la variazione

Pagina 117
Pagina 117 (AppuntiFII)Apri immagine

Pagina 118 - e un acquisto del flusso attraverso la superficie (2) di Bandtw. Di conseguenza, posso scrivere la variazione

Tema: Magnetostatica
Riassunto guidato

Qui si definisce il campo magnetico e le forze su cariche/correnti (Lorentz/Laplace) e si calcolano campi prodotti da correnti (Biot-Savart/Ampère), con esempi su fili, spire, solenoidi.

Estratto dalla pagina (testo)

e un acquisto del flusso attraverso la superficie (2) di Bandtw. Di conseguenza, posso scrivere la variazione diFlusso come $(t +dt) -(t) = B2 Natw-Bindtw = d). Posso perciò ricavare la variazione di flusso nel tempo come Banw-Bew = v(Bz-Bi)w = - =-GGE Di FARADAY Nell'esempio considerato, no un flusso di B diretto verso l'alto e decrescente (perché la spira si sposta in regioni in cui è sempre meno intenso).

Cosa segue

Pagina 119: 2) Consideriomo un sistema di riferimento in cui abbiamo un ↑Z compo magnetico uniforme e

Pagina 118
Pagina 118 (AppuntiFII)Apri immagine

Pagina 119 - 2) Consideriomo un sistema di riferimento in cui abbiamo un ↑Z compo magnetico uniforme e

Tema: Magnetostatica
Riassunto guidato

Qui si definisce il campo magnetico e le forze su cariche/correnti (Lorentz/Laplace) e si calcolano campi prodotti da correnti (Biot-Savart/Ampère), con esempi su fili, spire, solenoidi.

Estratto dalla pagina (testo)

2) Consideriomo un sistema di riferimento in cui abbiamo un ↑Z compo magnetico uniforme e una spira rettangolare che giaccia de edi antiparalleli - > sul piano [x,y] e che abbia tre lati Essi e uno mobile in moto Li a velocità costante.

Cosa segue

Pagina 120: 3) Consideriomo un sistema di riferimento in cui FERMO af LAB abbiamo un compo magnetico

Pagina 119
Pagina 119 (AppuntiFII)Apri immagine

Pagina 120 - 3) Consideriomo un sistema di riferimento in cui FERMO af LAB abbiamo un compo magnetico

Tema: Magnetostatica
Riassunto guidato

Qui si definisce il campo magnetico e le forze su cariche/correnti (Lorentz/Laplace) e si calcolano campi prodotti da correnti (Biot-Savart/Ampère), con esempi su fili, spire, solenoidi.

Estratto dalla pagina (testo)

3) Consideriomo un sistema di riferimento in cui FERMO af LAB abbiamo un compo magnetico non uniforme (generato ad esempio da un solenoide percorso da · corrente) e una spira rettangolare che giaccia sul piano [x,y] e che sia in moto a velocità i in In questo sistema di riferimento valgono le w = si > Y considerazioni fatte nel caso (1).

Cosa segue

Pagina 121: varrà dire che in essa circolerà una corrente I variabile nel tempo, la quale

Pagina 120
Pagina 120 (AppuntiFII)Apri immagine

Pagina 121 - varrà dire che in essa circolerà una corrente I variabile nel tempo, la quale

Tema: Correnti e circuiti
Riassunto guidato

Qui si passa al regime stazionario di corrente: densità di corrente, legge di conservazione della carica, legge di Ohm, resistività e modelli microscopici (Drude).

Estratto dalla pagina (testo)

varrà dire che in essa circolerà una corrente I variabile nel tempo, la quale a sua volta genererà un campo magnetico variabile nel tempo: se faccio variare I nella bobina in modo tale da avere una variazione di flusso di nella spira andoga ai casi 1, 2, il galvanometro misurerà la stessa corrente osservata nei casi precedenti.

Cosa segue

Pagina 122: Telefono di Bellmeucci > sottile Disco Di RAME FERRO L DOLCE- ~ BOBINA Di RAME

Pagina 121
Pagina 121 (AppuntiFII)Apri immagine

Pagina 122 - Telefono di Bellmeucci > sottile Disco Di RAME FERRO L DOLCE- ~ BOBINA Di RAME

Tema: Elettrostatica
Riassunto guidato

Qui si introducono i concetti base di carica elettrica e interazione elettrostatica: forza tra cariche (Coulomb), campo elettrico e principio di sovrapposizione, con esempi di calcolo.

Estratto dalla pagina (testo)

Telefono di Bellmeucci - > sottile Disco Di RAME FERRO L DOLCE- ~ BOBINA Di RAME N S MAGNETE PERMANENTE Esempio: Betatrone (dispositivo per accelerare le particelle) - -- B · p. qx Il betatrone è un dispositivo capace di for percorrere 6 UNEE L · ↑ · v ⑧ · LE · ad una particella carica (in questo caso un elettrone) una DI FORZA Di orbita circolare, accelerandola.

Cosa segue

Pagina 123: guBor = pe Qu un intervallo di tempo at, ho una variazione della g. d

Pagina 122
Pagina 122 (AppuntiFII)Apri immagine

Pagina 123 - guBor = pe Qu un intervallo di tempo at, ho una variazione della g. d

Tema: Correnti e circuiti
Riassunto guidato

Qui si passa al regime stazionario di corrente: densità di corrente, legge di conservazione della carica, legge di Ohm, resistività e modelli microscopici (Drude).

Estratto dalla pagina (testo)

guBor = pe Qu un intervallo di tempo at, ho una variazione della g. d. m. pari a 1P =Bm Quindi: ABor=ABm = m 2 Bor= M - condizione Necessaria a mantenere il raggio dell'orbita costante ESEMPIO: GENERATORE Di CORRENTE ALTERNATA E ↳ CARICO S 0 Consideriamo un circuito formato da una & uniforme elettrico n spira che ruoti attorno ad un suo asse con velocità angolarec e che sia attraversata da un adesempio lampadina…

Cosa segue

Pagina 124: 6/12/2024 MUTUA Induzione Consideriamo un

Pagina 123
Pagina 123 (AppuntiFII)Apri immagine

Pagina 124 - 6/12/2024 MUTUA Induzione Consideriamo un

Tema: Correnti e circuiti
Riassunto guidato

Qui si passa al regime stazionario di corrente: densità di corrente, legge di conservazione della carica, legge di Ohm, resistività e modelli microscopici (Drude).

Estratto dalla pagina (testo)

6/12/2024 MUTUA Induzione Consideriamo un circuito in che sia collegato ad un Gz · generatore di tensione e ad una resistenza variabile, ed un circuitoCz separato. Se il circuito Cin viene # chiuso, in esso circolerà una corrente In che darà # 7 RESISTENZA VARIABILE luogo ad un campo magnetico E di cui alcune linee di campo attraverseranno la superficie Si concatenata da Cz.

Cosa segue

Pagina 125: I d = dV filo, avremo JdV = Jisde = Idl = = Ide. Al potenziale = P vettore(r) associato all'elementino...

Pagina 124
Pagina 124 (AppuntiFII)Apri immagine

Pagina 125 - I d = dV filo, avremo JdV = Jisde = Idl = = Ide. Al potenziale = P vettore(r) associato all'elementino...

Tema: Correnti e circuiti
Riassunto guidato

Qui si passa al regime stazionario di corrente: densità di corrente, legge di conservazione della carica, legge di Ohm, resistività e modelli microscopici (Drude).

Estratto dalla pagina (testo)

I d = dV filo, avremo JdV = Jisde = Idl = = Ide. Al potenziale - - = P vettore(r) associato all'elementino infinitesimo di volume S + di ↑ d a distanza dall'origine del sistema di riferimento in i unpuntoDistanzadall'azie e calcolatoore · =_ ↳ Siccome B =x, possiamo scrivere: Cis E = -Bond =(x)·Scoden = (va integrato su tutto (2) = -d Ez (In è l'unica che dipendedatt Ripetendo il regionamento per il caso opposto, =>…

Cosa segue

Pagina 126: Siccome ho N spire, il flusso totale di attraverso il toro sarà Pro(5) = Manten Se nella bobina scorre una...

Pagina 125
Pagina 125 (AppuntiFII)Apri immagine

Pagina 126 - Siccome ho N spire, il flusso totale di attraverso il toro sarà Pro(5) = Manten Se nella bobina scorre una...

Tema: Correnti e circuiti
Riassunto guidato

Qui si passa al regime stazionario di corrente: densità di corrente, legge di conservazione della carica, legge di Ohm, resistività e modelli microscopici (Drude).

Estratto dalla pagina (testo)

Siccome ho N spire, il flusso totale di attraverso il toro sarà Pro(5) = Manten Se nella bobina scorre una corrente variabile nel tempo, da essa deriverà una fem autoindotta E =_ ado() =on, perciò linduttanza vale = Manten CIRCUITO RL ED ENERGIA IMMAGAZZINATA NEL CAMPO MAGNETICO RI / / R W Un circuito RL è un circuito in cui sono presenti una resistenza e una En =-L induttanza.

Cosa segue

Pagina 127: La potenzadissipatadallaresistenzadiconseguenza,inuntempoa sara:

Pagina 126
Pagina 126 (AppuntiFII)Apri immagine

Pagina 127 - La potenzadissipatadallaresistenzadiconseguenza,inuntempoa sara:

Tema: Correnti e circuiti
Riassunto guidato

Qui si passa al regime stazionario di corrente: densità di corrente, legge di conservazione della carica, legge di Ohm, resistività e modelli microscopici (Drude).

Estratto dalla pagina (testo)

La potenzadissipatadallaresistenzadiconseguenza,inuntempoa sara: =RIe Ret = RI(-)ere] = ELI-> corrisponde all'energia che era stata Consideriamo l'equazione del circuito RL: IMMAGAZZINATA NEL'INDUTTANZA L + RI = Go Il bilancio Energetico del circuito deve essere perciò Gol = LIRI, dove: · El è la potenza fornita dal generatore; · RI è la potenza dissipata dalla resistenza; · LI deve essere la potenza immagazzinata…

Cosa segue

Pagina 128: Ti Se invece consideriamo un percorso T che si trovi fra Ti & le armature del condensatore,

Pagina 127
Pagina 127 (AppuntiFII)Apri immagine

Pagina 128 - Ti Se invece consideriamo un percorso T che si trovi fra Ti & le armature del condensatore,

Tema: Maxwell e onde EM
Riassunto guidato

Qui si unificano i fenomeni con le equazioni di Maxwell e si studiano onde elettromagnetiche, energia/flussso (vettore di Poynting) e propagazione.

Estratto dalla pagina (testo)

Ti Se invece consideriamo un percorso T che si trovi fra Ti & le armature del condensatore, siccome Ti non concatena - - alcuna carente (perché tra learmature non si ha T T fisicamente passaggio di corrente), per la legge di Ampere si ha fiore = o non c'è t tra le armature Consideriamo adesso due superfici diverse che appoggiano sul percorso in:Si crisponde all'area individuata da Ti, mentre.

Cosa segue

Pagina 129: 0 = 100 +Me =o ho otenuto la legge di conservazione della carica 10 = exB =No +moso implicano+ = d

Pagina 128
Pagina 128 (AppuntiFII)Apri immagine

Pagina 129 - 0 = 100 +Me =o ho otenuto la legge di conservazione della carica 10 = exB =No +moso implicano+ = d

Tema: Magnetostatica
Riassunto guidato

Qui si definisce il campo magnetico e le forze su cariche/correnti (Lorentz/Laplace) e si calcolano campi prodotti da correnti (Biot-Savart/Ampère), con esempi su fili, spire, solenoidi.

Estratto dalla pagina (testo)

0 = 100 +Me =o ho otenuto la legge di conservazione della carica 10 = exB =No +moso implicano+ = d Rionalizziamo il caso del condensatore considerando l'equazione completa: I I Ti Quando il condensatore è carico, tra le armature si genera un campo # elettrico E Siccome il processo di carica del condensatore non avviene istantaneamente, bensi esso accumula in un tempo dt una carica dal Idt, vuol dire che anche È…

Cosa segue

Pagina 130: Ripetendo il fenomeno con varie sostanze, si osserva che certe sono soggette a forze attrattive e certe

Pagina 129
Pagina 129 (AppuntiFII)Apri immagine

Pagina 130 - Ripetendo il fenomeno con varie sostanze, si osserva che certe sono soggette a forze attrattive e certe

Tema: Legge di Gauss
Riassunto guidato

Qui si collega il flusso del campo elettrico alla carica racchiusa (legge di Gauss) e si sfruttano simmetrie (piana, cilindrica, sferica) per ricavare \(\mathbf{E}\).

Estratto dalla pagina (testo)

Ripetendo il fenomeno con varie sostanze, si osserva che certe sono soggette a forze attrattive e certe a forze repulsive: · Le sostanze che sono soggette a forze repulsive (che sono piccole. Fu ro10) sono dette DIAMAGNETICHE; · Le sostanze che sono soggette a forze attrattive sono dete paramagnetiche, e in questo caso la forza dipende anche dalla temperatura (es. Gllz-En 3. 10 E, Quiquido e Fuevate il suo peso).

Cosa segue

Pagina 131: La forza complessiva agente sulla spira è F = IzärBr =ur > È u siccome ult, e nella direzione in cui cresce B...

Pagina 130
Pagina 130 (AppuntiFII)Apri immagine

Pagina 131 - La forza complessiva agente sulla spira è F = IzärBr =ur > È u siccome ult, e nella direzione in cui cresce B...

Tema: Magnetostatica
Riassunto guidato

Qui si definisce il campo magnetico e le forze su cariche/correnti (Lorentz/Laplace) e si calcolano campi prodotti da correnti (Biot-Savart/Ampère), con esempi su fili, spire, solenoidi.

Estratto dalla pagina (testo)

La forza complessiva agente sulla spira è F = IzärBr =ur - > È u siccome ult, e nella direzione in cui cresce B u =u (se e e antiparallelo a, è nella direzione in cui s decresce se è uniforme, non c'è una forza ( Forza che spinge verso ↓()) Forza che spinge e se l'esterno del solenoide l'interno del solenoide = SOSTANZA DIAMAGNETICA = SOSTANZA PARAMAGNETICA A /1) 10/12/2024 correnti elettriche Negli Atomi modello…

Cosa segue

Pagina 132: ottengo un momento di dipolo magnetico medio = 0. Anche se tutti gli atomi avessero orbite complanari, avrei...

Pagina 131
Pagina 131 (AppuntiFII)Apri immagine

Pagina 132 - ottengo un momento di dipolo magnetico medio = 0. Anche se tutti gli atomi avessero orbite complanari, avrei...

Tema: Elettrostatica
Riassunto guidato

Qui si introducono i concetti base di carica elettrica e interazione elettrostatica: forza tra cariche (Coulomb), campo elettrico e principio di sovrapposizione, con esempi di calcolo.

Estratto dalla pagina (testo)

ottengo un momento di dipolo magnetico medio = 0. Anche se tutti gli atomi avessero orbite complanari, avrei comunque ci = o perché individuerli alcuni con il diretto in un verso e altri con i diretto in verso opposto.

Cosa segue

Pagina 133: tutti i materiali, che hanno infatti proprietà diAmagnetiche. Esempio:

Pagina 132
Pagina 132 (AppuntiFII)Apri immagine

Pagina 133 - tutti i materiali, che hanno infatti proprietà diAmagnetiche. Esempio:

Tema: Induzione elettromagnetica
Riassunto guidato

Qui si studia la legge di Faraday-Lenz: una variazione di flusso magnetico induce una f.e.m. e correnti indotte; si discutono casi tipici e interpretazione energetica.

Estratto dalla pagina (testo)

tutti i materiali, che hanno infatti proprietà diAmagnetiche. Esempio: consideriamo un materiale che abbia un elettrone ogni due nucleoni. = 3. 10 elettroni/g, Br = 1, 87 su = 3. 1023. (1, 6. 101C)2. (0, 5. 10 m). 1,87 = 6.10mF= 6.:17 CRAGGIO Di BOMR) 4. 9. 103 leg leB170m Sfruttando il modello classico attengo una forza Fu 10 I che è in accordo con l'evidenza sperimentale, perciò qualitativamente funziona.

Cosa segue

Pagina 134: n Classicamente, possiamo visualizzare l'elettrone come una stretta di carica e nel

Pagina 133
Pagina 133 (AppuntiFII)Apri immagine

Pagina 134 - n Classicamente, possiamo visualizzare l'elettrone come una stretta di carica e nel

Tema: Elettrostatica
Riassunto guidato

Qui si introducono i concetti base di carica elettrica e interazione elettrostatica: forza tra cariche (Coulomb), campo elettrico e principio di sovrapposizione, con esempi di calcolo.

Estratto dalla pagina (testo)

n Classicamente, possiamo visualizzare l'elettrone come una stretta di carica e - nel caso del moto orbitale, l'elettrone può avere un momento di dipolo legato t al momentoangolare orbitale is--ent, ma siccome l'elettrone sta ruotando attorno ad un specifico asse,, ci sarà un altro momento di dipolo legato al momento angolare di spin = - 4 = 24 MOMENTO ANGOLARE TOTALE: (N. B.

Cosa segue

Pagina 135: 11/12/2024 Momento di dipolo magnetico: i

Pagina 134
Pagina 134 (AppuntiFII)Apri immagine

Pagina 135 - 11/12/2024 Momento di dipolo magnetico: i

Tema: Dielettrici
Riassunto guidato

Qui si introduce la polarizzazione dei dielettrici e le grandezze macroscopiche \(\mathbf{P}\) e \(\mathbf{D}\), con relazione costitutiva e implicazioni su campo e potenziale.

Estratto dalla pagina (testo)

11/12/2024 Momento di dipolo magnetico: i = -gu Siccome in meccanica quantistica non è un vettore usuale dello spazio, non lo sarà nemmeno il Consideriamo un atomo immerso in un campo magnetico diretto lungo le E positive = B: l'energia che l'atomo acquista per effetto del compo magnetico (se i è allineato con Bl sarà Una = -u - B = -UzB = gmJzB, con jz = Th, (j-1)h,...

Cosa segue

Pagina 136: Elementi che hanno shell parzialmente riempite, quindi non nullo, sono ad esempio i metalli di

Pagina 135
Pagina 135 (AppuntiFII)Apri immagine

Pagina 136 - Elementi che hanno shell parzialmente riempite, quindi non nullo, sono ad esempio i metalli di

Tema: Magnetostatica
Riassunto guidato

Qui si definisce il campo magnetico e le forze su cariche/correnti (Lorentz/Laplace) e si calcolano campi prodotti da correnti (Biot-Savart/Ampère), con esempi su fili, spire, solenoidi.

Estratto dalla pagina (testo)

Elementi che hanno shell parzialmente riempite, quindi non nullo, sono ad esempio i metalli di Transizione (Cr, Mn, Fe, Ni, Co, Pa, Pe....) Consideriamo una quantità macroscopica di atomi di sodio, corrispondente ad un sistema di spin E.

Cosa segue

Pagina 137: Esempio: Tn30k, Brot 1002 e tankB M M = nM12.B MLB HO PARAMAGNETISMO CAMPO MAGNETICO

Pagina 136
Pagina 136 (AppuntiFII)Apri immagine

Pagina 137 - Esempio: Tn30k, Brot 1002 e tankB M M = nM12.B MLB HO PARAMAGNETISMO CAMPO MAGNETICO

Tema: Magnetostatica
Riassunto guidato

Qui si definisce il campo magnetico e le forze su cariche/correnti (Lorentz/Laplace) e si calcolano campi prodotti da correnti (Biot-Savart/Ampère), con esempi su fili, spire, solenoidi.

Estratto dalla pagina (testo)

Esempio: Tn30k, Brot 1002 e tankB M M = nM12.B MLB - HO PARAMAGNETISMO CAMPO MAGNETICO IN UN MATERIALE) Bricr: campo complessivo dovuto alle correnti esterne e i "circuiti microscopici atomici" Per analizzare gli effetti del campo complessivo Bricr, si può considerare una carica a nel materiale in moto a velocità i e misurare la forza di Lorentz che agisce su di essa.

Cosa segue

Pagina 138: a Mz zn C Consideriamo un cubetto che abbia facce parallele ai piani > Y b I

Pagina 137
Pagina 137 (AppuntiFII)Apri immagine

Pagina 138 - a Mz zn C Consideriamo un cubetto che abbia facce parallele ai piani > Y b I

Tema: Correnti e circuiti
Riassunto guidato

Qui si passa al regime stazionario di corrente: densità di corrente, legge di conservazione della carica, legge di Ohm, resistività e modelli microscopici (Drude).

Estratto dalla pagina (testo)

a Mz zn C Consideriamo un cubetto che abbia facce parallele ai piani > Y b I T individuati dagli assi cortesioni e una magnetizzazione T lungo le 2 positive. La magnetizzazione dipende da a una corrente I fatta come nel grafico, tale per cui si ha a Mz nMz + AMz zn = Dy un momento di dipolo magnetico Jac.

Cosa segue

Pagina 139: EQUAZIONI DELLA MAGNETOSTATICA In PRESENZA Di MATERIALI MAGNETICI E IN CONDIZIONI

Pagina 138
Pagina 138 (AppuntiFII)Apri immagine

Pagina 139 - EQUAZIONI DELLA MAGNETOSTATICA In PRESENZA Di MATERIALI MAGNETICI E IN CONDIZIONI

Tema: Correnti e circuiti
Riassunto guidato

Qui si passa al regime stazionario di corrente: densità di corrente, legge di conservazione della carica, legge di Ohm, resistività e modelli microscopici (Drude).

Estratto dalla pagina (testo)

EQUAZIONI DELLA MAGNETOSTATICA In PRESENZA Di MATERIALI MAGNETICI E IN CONDIZIONI STAZIONARIE: ·ot = 0 · * =cond Non ci sono le correnti amperiane Per risolvere completamente tutte le equazioni, bisogna trovare una relazione tra Bed in o tra Fi ed it An certi casi, queste relazioni sono lineari, infatti: = XmF, dove Xm: suscettività magnetica del mezzo - > B = no (Fi +i) = no(1+ Xm)F = MokmF = uH permeabilità…

Cosa segue

Pagina 140: Partiamo da del ferro non magnetizzato, con il circuito spento quindi senza nemmeno compo magnetico: allora, M

Pagina 139
Pagina 139 (AppuntiFII)Apri immagine

Pagina 140 - Partiamo da del ferro non magnetizzato, con il circuito spento quindi senza nemmeno compo magnetico: allora, M

Tema: Legge di Gauss
Riassunto guidato

Qui si collega il flusso del campo elettrico alla carica racchiusa (legge di Gauss) e si sfruttano simmetrie (piana, cilindrica, sferica) per ricavare \(\mathbf{E}\).

Estratto dalla pagina (testo)

Partiamo da del ferro non magnetizzato, con il circuito spento quindi senza nemmeno compo magnetico: allora, M = I = B = Fi = 0 Se accendo il circuito, ho una corrente I (quindi anche H = cost. 1). Siccome I arriva gradualmente al suo volare una volta che il circuito viene acceso, si ha una variazione di corrente e quindi una Fer indotta: si ha perciò Stat = BiS, dove,S' è una sezione del toro.

Cosa segue

Pagina 141: ESEMPIO: INDUTTANZA DEL TORO Di FERRO CON L'AVVOLGIMENTO Campo Fi:

Pagina 140
Pagina 140 (AppuntiFII)Apri immagine

Pagina 141 - ESEMPIO: INDUTTANZA DEL TORO Di FERRO CON L'AVVOLGIMENTO Campo Fi:

Tema: Correnti e circuiti
Riassunto guidato

Qui si passa al regime stazionario di corrente: densità di corrente, legge di conservazione della carica, legge di Ohm, resistività e modelli microscopici (Drude).

Estratto dalla pagina (testo)

ESEMPIO: INDUTTANZA DEL TORO Di FERRO CON L'AVVOLGIMENTO Campo Fi: H = n L Siccome la corrente nell'avvolgimento sta aumentando e il F russo di campo magnetico attraverso una singolar spire e d(B) = 3).

Cosa segue

Pagina 142: inmododiversoin questasivazione, ilcampioneristacomplessivament allineano:

Pagina 141
Pagina 141 (AppuntiFII)Apri immagine

Pagina 142 - inmododiversoin questasivazione, ilcampioneristacomplessivament allineano:

Tema: Maxwell e onde EM
Riassunto guidato

Qui si unificano i fenomeni con le equazioni di Maxwell e si studiano onde elettromagnetiche, energia/flussso (vettore di Poynting) e propagazione.

Estratto dalla pagina (testo)

inmododiversoin questasivazione, ilcampioneristacomplessivament allineano: si ha perciò un allineamento dei domini e una magnetizzazione. Se spengo, il campione rimane magnetizzato e ho attenuto un magnete permanente.

Cosa segue

Pagina 143: = o + ho ottenuto tre equazioni scalari:

Pagina 142
Pagina 142 (AppuntiFII)Apri immagine

Pagina 143 - = o + ho ottenuto tre equazioni scalari:

Tema: Maxwell e onde EM
Riassunto guidato

Qui si unificano i fenomeni con le equazioni di Maxwell e si studiano onde elettromagnetiche, energia/flussso (vettore di Poynting) e propagazione.

Estratto dalla pagina (testo)

= o + ho ottenuto tre equazioni scalari: o Equazioni Di Dal se I Le soluzioni individuano ciascuna una funzione d'onda Cil fatto che ci siac nelle equazioni suggerisce che ci sono propagazioni che vanno alla velocità della luce) Consideriamo l'equazione analoga per il campo magnetico: x = Mod ** = xno = (5.

Cosa segue

Pagina 144: La sola trasformazione di Gauge E = Ä+F lascia invariato, ma non E. Per rendere invariato pure È

Pagina 143
Pagina 143 (AppuntiFII)Apri immagine

Pagina 144 - La sola trasformazione di Gauge E = Ä+F lascia invariato, ma non E. Per rendere invariato pure È

Tema: Dielettrici
Riassunto guidato

Qui si introduce la polarizzazione dei dielettrici e le grandezze macroscopiche \(\mathbf{P}\) e \(\mathbf{D}\), con relazione costitutiva e implicazioni su campo e potenziale.

Estratto dalla pagina (testo)

La sola trasformazione di Gauge E = Ä+F lascia invariato, ma non E. Per rendere invariato pure È, è necessario introdurre una nuova trasformazione per il potenziale scalare. trasformazioni di Gauge Generali: +f, d' = - Verifichiamo se ora È rimane invariato: - > = -d- = -(d'+) -( -jf) = -d' - j -+ =-d'-f- +f = -p ESEMPIO: LEGGE DI GAUSS =.(p- ) = - =d - 5- = - -(d'+ =) -(t-f)) = =-D'- -5) + 5.

Cosa segue

Pagina 145: &e In regioni dello spazio in cui non ci sono > cariche ne

Pagina 144
Pagina 144 (AppuntiFII)Apri immagine

Pagina 145 - Equazioni d'onda e onde elettromagnetiche piane (in vuoto)

Tema: Onde elettromagnetiche
Riassunto guidato

Si passa dalle equazioni di Maxwell alle equazioni d'onda e si introduce l'ansatz di onda piana per descrivere la propagazione di campi elettromagnetici in assenza di sorgenti.

  • In vuoto (ρ=0, \(\mathbf{J}=0\)) i campi soddisfano equazioni del tipo \(\nabla^2\mathbf{E}-\frac{1}{c^2}\,\partial_t^2\mathbf{E}=0\) e analogamente per \(\mathbf{B}\).
  • Per un'onda che si propaga lungo \(x\): \(\mathbf{E}=\mathbf{E}(x,t)\), \(\mathbf{B}=\mathbf{B}(x,t)\), si analizzano le componenti e i vincoli imposti da \(\nabla\cdot\mathbf{E}=0\), \(\nabla\cdot\mathbf{B}=0\).
  • Obiettivo: arrivare alla forma generale di un'onda piana con campi trasversi e legati tra loro.

Cosa segue

Pagina 146:

Pagina 145
Pagina 145 (AppuntiFII)Apri immagine

Pagina 146 - Onde EM trasverse: soluzione generale 1D e legami tra componenti

Tema: Onde elettromagnetiche
Riassunto guidato

Si dimostra che le onde elettromagnetiche sono trasverse e si costruisce la soluzione generale dell'equazione d'onda 1D come somma di un'onda progressiva e una regressiva.

  • Si fattorizza l'operatore d'onda: \(\partial_x^2-\frac{1}{c^2}\partial_t^2=(\partial_x-\frac{1}{c}\partial_t)(\partial_x+\frac{1}{c}\partial_t)\).
  • Ne segue la soluzione generale: \(f(x-ct)+g(x+ct)\).
  • Dalle equazioni di Maxwell si ricavano i legami tra componenti di \(\mathbf{E}\) e \(\mathbf{B}\) (campi perpendicolari alla direzione di propagazione).

Cosa segue

Pagina 147:

Pagina 146
Pagina 146 (AppuntiFII)Apri immagine

Pagina 147 - Onda elettromagnetica armonica e polarizzazione lineare

Tema: Onde elettromagnetiche
Riassunto guidato

Si definisce un'onda elettromagnetica armonica e si introduce la polarizzazione lineare: i campi oscillano lungo una direzione fissa mentre l'onda si propaga lungo una direzione perpendicolare.

  • Esempio di propagazione lungo \(x\): \(\mathbf{E}=E_0\,\hat{\mathbf{y}}\,\sin(kx-\omega t)\), \(\mathbf{B}=B_0\,\hat{\mathbf{z}}\,\sin(kx-\omega t)\).
  • Definizioni: periodo \(T=\frac{2\pi}{\omega}\), frequenza \(\nu=\frac{1}{T}\), lunghezza d'onda \(\lambda=\frac{2\pi}{k}\).
  • Introduzione del vettore d'onda \(\mathbf{k}\) per descrivere propagazione in direzione arbitraria.

Cosa segue

Pagina 148:

Pagina 147
Pagina 147 (AppuntiFII)Apri immagine

Pagina 148 - Relazione di dispersione e ortogonalità \(\mathbf{E}\perp\mathbf{B}\perp\mathbf{k}\)

Tema: Onde elettromagnetiche
Riassunto guidato

Usando la rappresentazione complessa delle onde armoniche, si ricavano in modo pulito i vincoli su \(\mathbf{E}\), \(\mathbf{B}\) e \(\mathbf{k}\) e la relazione tra numero d'onda e frequenza.

  • Per \(\mathbf{E}=\mathbf{E}_0 e^{i(\mathbf{k}\cdot\mathbf{r}-\omega t)}\): \(\nabla\to i\mathbf{k}\), \(\partial_t\to -i\omega\).
  • Dalle equazioni d'onda: \(k=\omega/c\) (in vuoto).
  • Da Maxwell: \(\mathbf{k}\cdot\mathbf{E}_0=0\) e \(\mathbf{B}_0=\frac{1}{\omega}\,\mathbf{k}\times\mathbf{E}_0\) \(\Rightarrow\) campi trasversi e mutuamente perpendicolari.

Cosa segue

Pagina 149:

Pagina 148
Pagina 148 (AppuntiFII)Apri immagine

Pagina 149 - Onde sferiche: soluzione radiale e decadimento \(1/r\)

Tema: Onde elettromagnetiche
Riassunto guidato

Si studia la propagazione in simmetria sferica: i fronti d'onda sono sfere e l'ampiezza dei campi decresce con la distanza.

  • Si cerca una soluzione dipendente solo da \(r\): tipicamente \(F(r,t)=\frac{1}{r}f(r-ct)\) (onda uscente) e \(\frac{1}{r}g(r+ct)\) (onda entrante).
  • Il fattore \(1/r\) nasce dalla geometria: la stessa energia si distribuisce su superfici \(4\pi r^2\).
  • Si discute la connessione con la soluzione d'onda e con l'interpretazione fisica dei fronti d'onda.

Cosa segue

Pagina 150:

Pagina 149
Pagina 149 (AppuntiFII)Apri immagine

Pagina 150 - Energia del campo EM e teorema di Poynting (forma integrale)

Tema: Onde elettromagnetiche
Riassunto guidato

Si introduce il bilancio energetico del campo elettromagnetico: variazione dell'energia nel volume, flusso attraverso la superficie e potenza scambiata con le cariche.

  • Energia nel volume: \(U=\int_V u\,dV\), con densità \(u\) del campo.
  • Flusso di energia: \(\mathbf{S}=\frac{1}{\mu_0}\,\mathbf{E}\times\mathbf{B}\) (vettore di Poynting).
  • Bilancio (forma integrale): \(\frac{d}{dt}\int_V u\,dV+\oint_{\partial V}\mathbf{S}\cdot d\mathbf{a}=-\int_V \mathbf{J}\cdot\mathbf{E}\,dV\).

Cosa segue

Pagina 151:

Pagina 150
Pagina 150 (AppuntiFII)Apri immagine

Pagina 151 - Teorema di Poynting (forma locale) e densità di energia

Tema: Onde elettromagnetiche
Riassunto guidato

Si ricava la forma locale del bilancio energetico e si identifica l'espressione esplicita della densità di energia elettromagnetica.

  • Forma locale: \(\partial_t u+\nabla\cdot\mathbf{S}=-\mathbf{J}\cdot\mathbf{E}\).
  • In vuoto: \(u=\frac{\varepsilon_0}{2}E^2+\frac{1}{2\mu_0}B^2\).
  • Per un'onda piana: \(\mathbf{S}\) è diretto come la propagazione e il valore medio nel tempo fornisce l'intensità.

Cosa segue

Pagina 152:

Pagina 151
Pagina 151 (AppuntiFII)Apri immagine

Pagina 152 - Quantità di moto del campo EM e pressione di radiazione

Tema: Onde elettromagnetiche
Riassunto guidato

Si collega il trasporto di energia al trasporto di quantità di moto: un'onda elettromagnetica esercita una forza (pressione di radiazione) su un corpo che assorbe o riflette.

  • Si interpreta il flusso di energia \(\mathbf{S}\) come flusso di quantità di moto del campo.
  • Caso tipico: assorbimento \(p_{rad}\approx I/c\); riflessione ideale \(p_{rad}\approx 2I/c\) (a parità di intensità).
  • Si discutono impulso e quantità di moto scambiati tramite la forza di Lorentz sulle cariche nel materiale.

Cosa segue

Pagina 153:

Pagina 152
Pagina 152 (AppuntiFII)Apri immagine

Pagina 153 - Esempi: flusso di energia e flusso di quantità di moto (particelle e fotoni)

Tema: Onde elettromagnetiche
Riassunto guidato

Con esempi concreti (urti di particelle e fotoni) si chiarisce perché l'onda elettromagnetica porta quantità di moto e come questo si traduce in pressione di radiazione.

  • Modello classico: particelle che colpiscono una parete → il flusso di quantità di moto determina una pressione.
  • Modello con fotoni: \(E=pc\) → energia e quantità di moto sono direttamente legate.
  • Si confrontano energia assorbita/riflessa e variazione di quantità di moto per ottenere \(p_{rad}\).

Cosa segue

Pagina 154:

Pagina 153
Pagina 153 (AppuntiFII)Apri immagine

Pagina 154 - Polarizzazione delle onde EM: lineare, circolare, ellittica

Tema: Onde elettromagnetiche
Riassunto guidato

Si descrive la polarizzazione come evoluzione nel tempo del vettore \(\mathbf{E}\) in un punto fissato: a seconda delle fasi relative tra componenti si ottengono i diversi tipi di polarizzazione.

  • Sovrapposizione di componenti ortogonali: \(E_y=E_{0y}\cos(kx-\omega t)\), \(E_z=E_{0z}\cos(kx-\omega t+\delta)\).
  • Se \(\delta=0\) → polarizzazione lineare; se \(|E_{0y}|=|E_{0z}|\) e \(\delta=\pm\pi/2\) → circolare.
  • Caso generale → ellisse di polarizzazione (ellittica).

Cosa segue

Pagina 155:

Pagina 154
Pagina 154 (AppuntiFII)Apri immagine

Pagina 155 - Ellisse di polarizzazione e Maxwell nei mezzi materiali

Tema: Onde elettromagnetiche
Riassunto guidato

Si mette in forma esplicita l'equazione dell'ellisse di polarizzazione e si introduce come cambiano le equazioni di Maxwell in un mezzo materiale (con polarizzazione e correnti associate).

  • Dalle due componenti con fase relativa si ricava un'equazione del tipo \(\left(\frac{E_y}{E_{0y}}\right)^2+\left(\frac{E_z}{E_{0z}}\right)^2-2\frac{E_yE_z}{E_{0y}E_{0z}}\cos\delta=\sin^2\delta\).
  • Nei mezzi: \(\mathbf{D}=\varepsilon_0\mathbf{E}+\mathbf{P}\) e compaiono correnti di polarizzazione \(\mathbf{J}_p=\partial_t\mathbf{P}\).
  • Si prepara il terreno per la propagazione in dielettrici e l'indice di rifrazione.

Cosa segue

Pagina 156:

Pagina 155
Pagina 155 (AppuntiFII)Apri immagine

Pagina 156 - Onde EM in dielettrico: indice di rifrazione, attenuazione e dispersione

Tema: Onde elettromagnetiche
Riassunto guidato

Si scrivono le equazioni di Maxwell in forma 'generale' (con sorgenti e mezzi) e si ottiene l'equazione d'onda nel dielettrico, introducendo indice di rifrazione e attenuazione.

  • In un dielettrico lineare (senza cariche libere) l'onda si propaga con velocità \(v=\frac{c}{n}\).
  • Se il mezzo è assorbente: indice complesso \(n(\omega)=n_r+i n_i\) → ampiezza che decade come \(e^{-\alpha x}\).
  • Collegamento con la dipendenza in frequenza \(n(\omega)\) (dispersione).

Cosa segue

Pagina 157:

Pagina 156
Pagina 156 (AppuntiFII)Apri immagine

Pagina 157 - Indice di rifrazione e polarizzabilità: modello dell'elettrone legato

Tema: Ottica
Riassunto guidato

Si collega la risposta microscopica del mezzo (dipoli indotti) alle proprietà ottiche macroscopiche, introducendo un modello di oscillatore per l'elettrone legato nel campo elettrico dell'onda.

  • Equazione tipo oscillatore forzato smorzato: \(\ddot x+\gamma\dot x+\omega_0^2 x=\frac{q}{m}E(t)\).
  • Dipolo indotto: \(p(t)=q x(t)\) e polarizzabilità \(\alpha(\omega)\).
  • Relazione tra suscettività e indice: in prima approssimazione \(n^2\simeq 1+\chi\) e \(\chi\propto N\alpha\).

Cosa segue

Pagina 158:

Pagina 157
Pagina 157 (AppuntiFII)Apri immagine

Pagina 158 - Oscillatore smorzato: polarizzabilità complessa e assorbimento

Tema: Ottica
Riassunto guidato

Risolvendo l'oscillatore in regime armonico si ottiene una polarizzabilità complessa: questo spiega insieme rifrazione (parte reale) e assorbimento (parte immaginaria).

  • Soluzione armonica: \(x(t)=\Re\{x_0 e^{-i\omega t}\}\) con \(x_0\) complesso.
  • Polarizzabilità: \(\alpha(\omega)=\alpha'(\omega)+i\alpha''(\omega)\) → indice complesso \(n=n_r+i n_i\).
  • L'intensità decresce nel mezzo: \(I(z)\propto e^{-2\beta z}\) (coefficiente di assorbimento legato a \(n_i\)).

Cosa segue

Pagina 159:

Pagina 158
Pagina 158 (AppuntiFII)Apri immagine

Pagina 159 - Dispersione (normale/anomala) e larghezza di risonanza

Tema: Ottica
Riassunto guidato

Si discute come cambia l'indice di rifrazione con la frequenza vicino a una risonanza e come lo smorzamento determina l'ampiezza dell'assorbimento e la larghezza di banda (FWHM).

  • Grafici qualitativi: picco di assorbimento attorno a \(\omega_0\) e variazione di \(n(\omega)\) (dispersione).
  • Dispersione normale lontano dalla risonanza; possibile dispersione anomala in prossimità del picco.
  • Interpretazione della FWHM come misura dell'intervallo di frequenze che viene assorbito in modo significativo.

Cosa segue

Pagina 160:

Pagina 159
Pagina 159 (AppuntiFII)Apri immagine

Pagina 160 - Pacchetti d'onda: banda di frequenze e localizzazione spazio-temporale

Tema: Ottica
Riassunto guidato

Un segnale reale non è un'onda infinita: si introduce il pacchetto d'onda come sovrapposizione di armoniche con frequenze vicine, con estensione finita nello spazio e nel tempo.

  • Pacchetto → intervallo di frequenze \(\Delta\omega\) attorno a \(\omega_0\).
  • Se la durata temporale è \(\Delta t\), tipicamente \(\Delta\omega\,\Delta t\sim 1\) (stima di Fourier).
  • Esempi di sovrapposizione e idea di 'inviluppo' che modula l'oscillazione rapida.

Cosa segue

Pagina 161:

Pagina 160
Pagina 160 (AppuntiFII)Apri immagine

Pagina 161 - Analisi di Fourier del pacchetto: spettro e larghezza della banda

Tema: Ottica
Riassunto guidato

Si formalizza il pacchetto d'onda con lo sviluppo/trasformata di Fourier e si vede come un intervallo temporale finito produce uno spettro in frequenza con forma tipo sinc.

  • Rappresentazione: \(E(t)=\int E(\omega)\cos(\omega t)\,d\omega\) (o forma complessa equivalente).
  • Per una finestra temporale finita, \(E(\omega)\) è concentrato attorno a \(\omega_0\) con larghezza \(\sim 1/\Delta t\).
  • Con dispersione, componenti a frequenze diverse viaggiano con velocità diverse → distorsione/spreading del pacchetto.

Cosa segue

Pagina 162:

Pagina 161
Pagina 161 (AppuntiFII)Apri immagine

Pagina 162 - Velocità di fase e di gruppo; dispersione e distorsione del pacchetto

Tema: Ottica
Riassunto guidato

Si distinguono velocità di fase e velocità di gruppo e si spiega come la dispersione \(k(\omega)\) modifica la propagazione dell'inviluppo del pacchetto d'onda.

  • Velocità di fase: \(v_p=\omega/k\).
  • Velocità di gruppo: \(v_g=\frac{d\omega}{dk}\) (velocità dell'inviluppo).
  • In mezzo non dispersivo \(v_g\approx v_p\); in mezzo dispersivo il pacchetto può allargarsi. Si commentano dispersione normale/anomala e i limiti fisici sulla velocità di segnale.

Cosa segue

Pagina 163:

Pagina 162
Pagina 162 (AppuntiFII)Apri immagine

Pagina 163 - Riflessione e rifrazione: condizioni di fase e legge di Snell

Tema: Ottica
Riassunto guidato

Si derivano le leggi di riflessione e rifrazione imponendo la continuità della fase lungo l'interfaccia tra due mezzi: la componente tangenziale del vettore d'onda deve coincidere per onda incidente, riflessa e trasmessa.

  • Conservazione della componente parallela: \(k_{1}\sin\theta_i=k_{1}\sin\theta_r=k_{2}\sin\theta_t\).
  • Ne segue \(\theta_r=\theta_i\) (riflessione) e \(n_1\sin\theta_i=n_2\sin\theta_t\) (Snell).
  • Interpretazione geometrica tramite fronti d'onda e raggi.

Cosa segue

Pagina 164:

Pagina 163
Pagina 163 (AppuntiFII)Apri immagine

Pagina 164 - Interfaccia tra mezzi: vettori d'onda, angoli e geometria dei raggi

Tema: Ottica
Riassunto guidato

Si consolida la geometria dell'onda piana all'interfaccia: decomposizione di \(\mathbf{k}\) in componenti parallela e normale, scelta del sistema di riferimento e significato fisico dei diversi angoli.

  • Si introducono/ricordano: \(\mathbf{k}=\mathbf{k}_{\parallel}+\mathbf{k}_{\perp}\) e il ruolo di \(\mathbf{k}_{\parallel}\) nella compatibilità di fase.
  • Si visualizzano i raggi (direzione di propagazione) e i fronti d'onda nei due mezzi.
  • Punto di partenza per i coefficienti di riflessione/trasmissione (Fresnel) e per la polarizzazione.

Cosa segue

Pagina 165:

Pagina 164
Pagina 164 (AppuntiFII)Apri immagine

Pagina 165 - Coefficienti di Fresnel, angolo di Brewster e riflessione totale

Tema: Ottica
Riassunto guidato

Si introducono i coefficienti di Fresnel (ampiezze riflessa/trasmessa) per diverse polarizzazioni e si discutono casi notevoli: angolo di Brewster e riflessione totale interna.

  • Per polarizzazioni s e p si ottengono coefficienti diversi per ampiezze e intensità riflesse/trasmesse.
  • Angolo di Brewster (riflessione nulla per p): tipicamente \(\tan\theta_B=\frac{n_2}{n_1}\).
  • Se \(n_1>n_2\): angolo critico \(\sin\theta_c=\frac{n_2}{n_1}\) → riflessione totale interna.

Cosa segue

Pagina 166:

Pagina 165
Pagina 165 (AppuntiFII)Apri immagine

Pagina 166 - Interferenza a due sorgenti (doppia fenditura): massimi, minimi e intensità

Tema: Ottica
Riassunto guidato

Si passa all'interferenza di due onde coerenti: differenza di cammino, differenza di fase e andamento dell'intensità osservata sullo schermo.

  • Differenza di cammino: \(\Delta \ell=d\sin\theta\) (geometria a grandi distanze).
  • Condizioni: massimi \(\Delta \ell=m\lambda\); minimi \(\Delta \ell=(m+\tfrac12)\lambda\).
  • Per due onde di uguale intensità: \(I=4I_0\cos^2(\delta/2)\) con \(\delta=\frac{2\pi}{\lambda}\Delta\ell\).

Cosa segue

Pagina 167:

Pagina 166
Pagina 166 (AppuntiFII)Apri immagine

Pagina 167 - Figura di interferenza: frange e interpretazione geometrica

Tema: Ottica
Riassunto guidato

Si interpreta la figura di interferenza in termini di frange (massimi/minimi) e si chiarisce il significato geometrico delle condizioni di fase costante.

  • Loci di punti a \(\Delta\ell\) costante → curve (iperboli/ellissi a seconda della geometria) che identificano massimi o minimi.
  • Massimi e minimi corrispondono a differenza di fase costante: \(\delta = \frac{2\pi}{\lambda}\Delta\ell\).
  • Transizione dal caso di 2 sorgenti al caso di molte sorgenti (reticoli).

Cosa segue

Pagina 168:

Pagina 167
Pagina 167 (AppuntiFII)Apri immagine

Pagina 168 - Coerenza: sorgenti coerenti/incoerenti e media temporale dell'intensità

Tema: Ottica
Riassunto guidato

Si spiega perché l'interferenza richiede coerenza: se la differenza di fase fluttua rapidamente nel tempo, il termine di interferenza si annulla nella media e resta solo la somma delle intensità.

  • Sorgenti coerenti: fase relativa stabile → frange stabili.
  • Sorgenti incoerenti: fase relativa variabile → \(\langle\cos\delta(t)\rangle=0\) → \(I_{tot}=I_1+I_2\).
  • Concetti collegati: tempo/lunghezza di coerenza e visibilità delle frange.

Cosa segue

Pagina 169:

Pagina 168
Pagina 168 (AppuntiFII)Apri immagine

Pagina 169 - Interferenza tra più sorgenti: geometria del reticolo di diffrazione

Tema: Ottica
Riassunto guidato

Si imposta il problema del reticolo: N sorgenti (o fenditure) equispaziate, osservazione in campo lontano e definizione della differenza di fase tra contributi successivi.

  • Passo di fase tra sorgenti adiacenti: \(\delta = k d\sin\theta = \frac{2\pi}{\lambda}d\sin\theta\).
  • Campo totale come somma dei campi dei singoli contributi (stesso \(\omega\), fasi diverse).
  • Obiettivo: ottenere una formula chiusa per ampiezza e intensità in funzione di \(\theta\).

Cosa segue

Pagina 170:

Pagina 169
Pagina 169 (AppuntiFII)Apri immagine

Pagina 170 - Somma dei contributi: rappresentazione complessa e fattore di interferenza

Tema: Ottica
Riassunto guidato

Si riscrive la somma di molte onde usando l'esponenziale complesso per trasformare la sovrapposizione in una serie geometrica.

  • Si passa da \(\cos(kr_j-\omega t)\) a \(e^{i(kr_j-\omega t)}\) per sommare facilmente le fasi.
  • Si fattorizza il termine comune e resta una somma del tipo \(1+e^{i\delta}+\dots+e^{i(N-1)\delta}\).
  • Questo porta direttamente alla struttura dei massimi/minimi del reticolo.

Cosa segue

Pagina 171:

Pagina 170
Pagina 170 (AppuntiFII)Apri immagine

Pagina 171 - Serie geometrica: \(\sum_{m=0}^{N-1}e^{im\delta}\) e forma in seni

Tema: Ottica
Riassunto guidato

Si calcola in forma chiusa la serie geometrica complessa e la si riscrive in termini di seni per evidenziare il fattore che modula l'ampiezza.

  • Somma: \(S=\frac{1-e^{iN\delta}}{1-e^{i\delta}}\).
  • Moltiplicando per esponenziali coniugati si ottiene \(|S|=\frac{\sin(N\delta/2)}{\sin(\delta/2)}\).
  • Questo fattore determina la posizione dei massimi principali e la larghezza dei picchi.

Cosa segue

Pagina 172:

Pagina 171
Pagina 171 (AppuntiFII)Apri immagine

Pagina 172 - Campo osservato e ampiezza risultante; significato fisico del fattore \(\frac{\sin(N\delta/2)}{\sin(\delta/2)}\)

Tema: Ottica
Riassunto guidato

Si torna al campo fisico (parte reale) e si interpreta la somma come un'onda armonica con ampiezza che dipende dall'angolo: l'intensità è proporzionale al quadrato del fattore di interferenza.

  • Campo: \(E(\theta,t)=E_0\,\frac{\sin(N\delta/2)}{\sin(\delta/2)}\cos(kr-\omega t+\varphi)\).
  • Ampiezza angolare: \(A(\theta)=E_0\,\frac{\sin(N\delta/2)}{\sin(\delta/2)}\).
  • Intensità: \(I(\theta)\propto \left[\frac{\sin(N\delta/2)}{\sin(\delta/2)}\right]^2\).

Cosa segue

Pagina 173:

Pagina 172
Pagina 172 (AppuntiFII)Apri immagine

Pagina 173 - Caso particolare N=2 e formula generale per \(I(\theta)\)

Tema: Ottica
Riassunto guidato

Si mostra che la formula generale include come caso particolare la doppia fenditura e si studia il massimo centrale del reticolo.

  • Per \(N=2\): \(\frac{\sin(N\delta/2)}{\sin(\delta/2)}=2\cos(\delta/2)\) → \(I=4I_0\cos^2(\delta/2)\).
  • Per N qualunque: \(I(\theta)=I_0\,\frac{\sin^2(N\delta/2)}{\sin^2(\delta/2)}\).
  • Limite \(\theta\to 0\): \(I_{max}=N^2 I_0\) (tutti i contributi in fase).

Cosa segue

Pagina 174:

Pagina 173
Pagina 173 (AppuntiFII)Apri immagine

Pagina 174 - Massimi principali, massimi secondari e minimi del reticolo

Tema: Ottica
Riassunto guidato

Si analizzano massimi e minimi della distribuzione: i massimi principali avvengono quando tutti i contributi sono in fase; tra due massimi principali compaiono massimi secondari e zeri.

  • Massimi principali: \(\delta=2\pi m\) (tutte le onde allineate in fase).
  • Minimi (zeri): \(\sin(N\delta/2)=0\) con \(\sin(\delta/2)\neq 0\) → \(\delta=\frac{2\pi}{N}n\) non multiplo di \(2\pi\).
  • Condizione per massimi secondari: dalla derivata emerge un'equazione del tipo \(N\tan x=\tan(Nx)\) (con \(x=\delta/2\)).

Cosa segue

Pagina 175:

Pagina 174
Pagina 174 (AppuntiFII)Apri immagine

Pagina 175 - Esempio N=6: struttura dei picchi e numero di massimi secondari

Tema: Ottica
Riassunto guidato

Con un esempio numerico/qualitativo (N=6 fenditure) si visualizza la struttura della figura di interferenza: due picchi principali e, tra essi, i massimi secondari e i minimi.

  • Tra due massimi principali compaiono \(N-2\) massimi secondari.
  • I picchi principali sono più stretti e più intensi (π ∼ \(N^2\)).
  • I grafici aiutano a distinguere chiaramente massimi principali, secondari e zeri.

Cosa segue

Pagina 176:

Pagina 175
Pagina 175 (AppuntiFII)Apri immagine

Pagina 176 - Diffrazione: Huygens-Fresnel, fenditura singola e criterio di Rayleigh

Tema: Ottica
Riassunto guidato

Si introduce la diffrazione come limite dell'ottica geometrica e si ricava (qualitativamente o quantitativamente) l'andamento dell'intensità per una fenditura singola; si collega poi il fenomeno alla risoluzione di strumenti ottici.

  • Principio di Huygens-Fresnel: ogni punto del fronte d'onda si comporta come sorgente secondaria.
  • Fenditura singola di ampiezza \(a\): in Fraunhofer \(I(\theta)=I_0\left(\frac{\sin\beta}{\beta}\right)^2\), \(\beta=\frac{\pi a}{\lambda}\sin\theta\).
  • Criterio di Rayleigh per due sorgenti: \(\theta_{min}\approx 1.22\,\frac{\lambda}{D}\) (apertura circolare).

Cosa segue

Fine documento.

Pagina 176
Pagina 176 (AppuntiFII)Apri immagine